【药物名称】PNU-107859
化学结构式(Chemical Structure):
参考文献No.34779
标题:Thiadiazolyl(thio)ureas useful as matrix metalloprotease inhibitors
作者:Jacobsen, E.J.; Mitchell, M.A.; Schostarez, H.J.; Harper, D.E. (Pharmacia & Upjohn AB)
来源:EP 0900211; JP 2000509039; WO 9740031
合成路线图解说明:

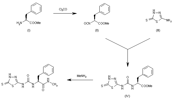
The reaction of L-phenylalanine methyl ester (I) with phosgene and pyridine in dichloromethane gives the isocyanate (II) (1), which is condensed with 5-amino-1,3,4-thiadiazol-2(3H)-thione (III) in THF to yield the urea (IV). Finally, this compound is treated with methylamine in ethanol to affords the target compound.

参考文献No.40861
标题:Thiadiazole derivs. useful for the treatment of diseases related to connective tissue degradation
作者:Mitchell, M.A.; Schostarez, H.J.; Harper, D.E.; Jacobsen, E.J. (Pharmacia Corp.)
来源:US 5847148
合成路线图解说明:

The reaction of L-phenylalanine methyl ester (I) with phosgene and pyridine in dichloromethane gives the isocyanate (II) (1), which is condensed with 5-amino-1,3,4-thiadiazol-2(3H)-thione (III) in THF to yield the urea (IV). Finally, this compound is treated with methylamine in ethanol to affords the target compound.

参考文献No.537116
标题:Synthesis of a series of stromelysin-selective thiadiazole urea matrix metalloproteinase inhibitors
作者:Jacobsen, E.J.; Mitchell, M.A.; Hendges, S.K.; Belonga, K.L.; Skaletzky, L.L.; Stelzer, L.S.; Lindberg, T.J.; Fritzen, E.L.; Schostarez, H.J.; O'Sullivan, T.J.; Maggiora, L.L.; Stuchly, C.W.; Laborde, A.L.; Kubicek, M,F.; Poorman, R.A.; et al.
来源:J Med Chem 1999,42(9),1525
合成路线图解说明:

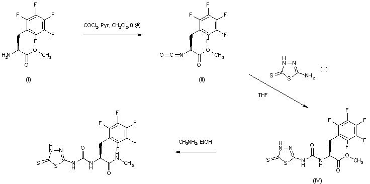
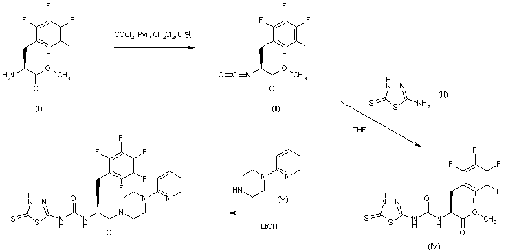
Pentafluorophenylalanine methyl ester (I) was treated with phosgene and pyridine to afford isocyanate (II), which was condensed with 5-aminothiadiazole-2-thione (III) to provide urea (IV). Then, displacement of the ester function of (IV) with 1-(2-pyridyl)piperazine (V) furnished the title amide.

合成路线图解说明:

Pentafluorophenylalanine methyl ester (I) was treated with phosgene and pyridine to afford isocyanate (II), which was condensed with 5-aminothiadiazole-2-thione (III) to provide urea (IV). Then, displacement of the ester function of (IV) with methylamine furnished the title amide.

合成路线图解说明:

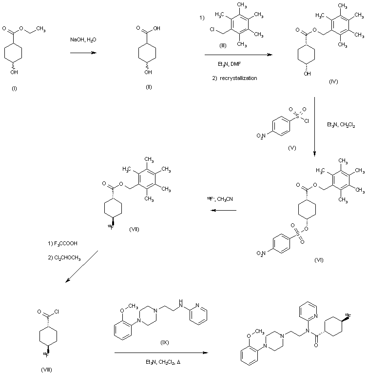
A mixture of cis and trans 4-hydroxycyclohexanecarboxylic acids (II), obtained by basic hydrolysis of the corresponding ethyl ester (I), was alkylated with pentamethylbenzyl chloride (III) in the presence of Et3N to afford pentamethylbenzyl ester (IV). Recrystallization from methylene chloride/hexane provided pure cis isomer, which was converted to 4-nitrobenzenesulfonate (VI) with p-nitrobenzenesulfonyl chloride (V) and Et3N. Subsequent displacement of the sulfonate group of (VI) for a 18F- provided the labeled intermediate (VII). Then, cleavage of the benzyl ester of (VII) with trifluoroacetic acid, followed by treatment with dichloromethyl methyl ether gave trans 4-18fluorocyclohexanecarbonyl chloride (VIII). This was finally coupled with amine (WAY-100634)(IX) in the presence of Et3N in CH2Cl2 to produce the target amide.

合成路线图解说明:

The reaction of L-phenylalanine methyl ester (I) with phosgene and pyridine in dichloromethane gives the isocyanate (II) (1), which is condensed with 5-amino-1,3,4-thiadiazol-2(3H)-thione (III) in THF to yield the urea (IV). Finally, this compound is treated with methylamine in ethanol to affords the target compound.

Drug Information Express,Drug R&D,Chemical Database,Patent Search.
Copyright © 2006-2026 Drug Future. All rights reserved.Contact Us