【药物名称】
化学结构式(Chemical Structure):
参考文献No.552670
标题:Selective A3 adenosine receptor antagonists: Water-soluble 3,5-diacyl-1,2,4-trialkylpyridinium salts and their oxidative generation from dihydropyridine precursors
作者:Xie, R.; Li, A.H.; Ji, X.D.; melman, N.; Olah, M.E.; Stiles, G.L.; Jacobson, K.A.
来源:J Med Chem 1999,42(20),4232
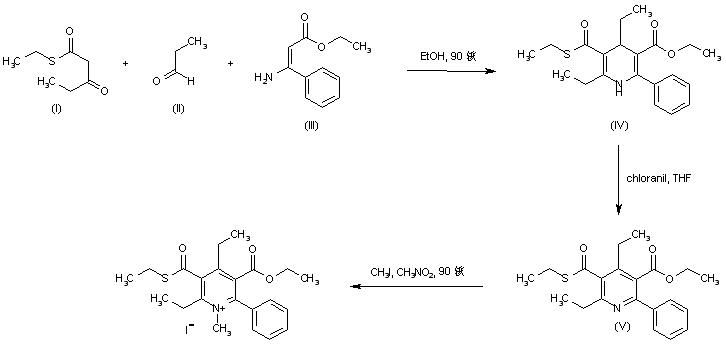
合成路线图解说明:

Pyridine (V) was prepared by Hantsch synthesis upon condensation of ketothioester (I), aldehyde (II) and enamino ester (III), followed by oxidative aromatization of the resulting dihydropyridine (IV) with chloranil, according to a reported method. N-Alkylation of pyridine (V) with iodomethane in hot nitromethane in a sealed tube under pressure furnished the title pyridinium salt.

Drug Information Express,Drug R&D,Chemical Database,Patent Search.
Copyright © 2006-2026 Drug Future. All rights reserved.Contact Us