【药物名称】
化学结构式(Chemical Structure):
参考文献No.31977
标题:Quinolizinone type cpds.
作者:Chu, D.T.; Li, Q.; Cooper, C.S.; Fung, A.K.L.; Lee, C.M.; Plattner, J.J.; Ma, Z.; Wang, W.-B. (Abbott Laboratories Inc.)
来源:EP 0871628; JP 1999510478; WO 9639407
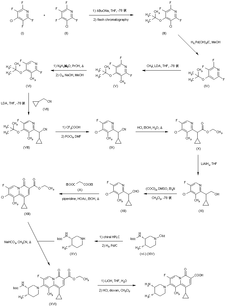
合成路线图解说明:

The reaction of 3-chlorotetrafluoropyridine (I) with potassium tert-butoxide in THF gives the 4-tert-butoxypyridine (II), which is dechlorinated with H2 over Pearlman's catalyst in methanol yielding 4-tert-butoxy-2,3,6-trifluoropyridine (III). The methylation of (III) with methyl iodide and LDA in THF affords the 5-methyl derivative (IV), which is partially defluorinated with hydrazine in refluxing propanol to provide 4-tert-butoxy-2,5-difluoro-3-methylpyridine (V). The condensation of (V) with cyclopropylacetonitrile (VI) by means of LDA in THF gives the alpha substituted acetonitrile (VII), which is treated with trifluoroacetic acid yielding the phenol (VIII). The reaction of (VIII) with POCl3 in dichloromethane/DMF affords the corresponding chloro derivative (IX), which is treated with dry HCl in ethanol giving the carboxylic ester (X). The reduction of (X) with LiAlH4 in THF affords the expected aldehyde (XI), which is cyclized with diethyl malonate, piperidine and acetic acid in refluxing ethanol giving the quinolizine carboxylate (XIII). The reaction of (XIII) with (1S,6S)-2-(tert-butoxycarbonyl)-2,8-diazabicyclo[4.3.0]nonane (XIV) by means of NaHCO3 in refluxing acetonitrile yields the condensation product (XV), which is saponified with LiOH in THF/wter providing the protcted target compound (XVI). Finally, this compound is deprotected with HCl in dioxane/methylene chloride.

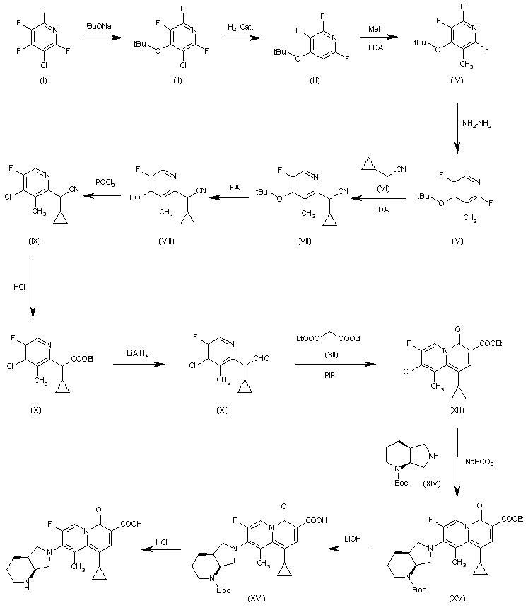
合成路线图解说明:

Treatment of a commercial mixture of 4-chloro-tetrafluropyridine (I) and 3-chlorotetrafluoropyridine (II) with sodium tert-butoxide, followed by chromatographic separation, afforded 4-tert-butoxy-3-chloro-2,5,6-trifluoropyridine (III). Subsequent hydrogenolysis of the chlorine atom of (III) provided (IV), which was methylated with iodomethane in the presence of LDA yielding methylpyridine (V). Selective removal of the 6-fluorine of (V) to give (VI) was achieved by treatment with hydrazine hydrate in boiling n-propanol, followed by air oxidation of the intermediate pyridyl hydrazine. Alkylation of cyclopropaneacetonitrile (VII) with (VI) furnished the pyridinyl cyclopropaneacetonitrile (VIII). After acid cleavage of the tert-butyl group of (VIII), treatment with phosphoryl chloride in DMF gave rise to 4-chloropyridine derivative (IX). Then, alcoholysis of the cyano group of (IX) produced ethyl ester (X). Ester reduction by means of LiAlH4 and subsequent Swern oxidation of the resulting alcohol (XI) provided aldehyde (XII). The required quinolizinone system (XIII) was prepared by Knoevenagel condensation of pyridine aldehyde (XII) with diethyl malonate (1). The chiral piperidine (XV) was obtained by chiral HPLC resolution of racemic cis-N-carbobenzoxy-3-(tert-butoxycarbonylamino)-4-methylpiperidine (XIV), followed by hydrogenolytic cleavage of the carbobenzoxy group. Aromatic substitution of chloroquinolizinone (XIII) with piperidine (XV) yielded adduct (XVI). Hydrolysis of the ethyl ester of (XVI) with LiOH and further acid deprotection of the Boc group furnished the title compound.

参考文献No.552669
标题:Synthesis and antimicrobial activity of 4H-4-oxoquinolizine derivatives: Consequences of structural modification at the C-8 position
作者:Ma, Z.; Chu, D.T.W.; Cooper, C.S.; Li, Q.; Fung, A.K.L.; Wang, S.; Shen, L.L.; Flamm, R.K.; Nilius, J.D.; Alder, J.D.; Meulbroek, J.A.; Sun OR, Y.
来源:J Med Chem 1999,42(20),4202
合成路线图解说明:

Treatment of a commercial mixture of 4-chloro-tetrafluropyridine (I) and 3-chlorotetrafluoropyridine (II) with sodium tert-butoxide, followed by chromatographic separation, afforded 4-tert-butoxy-3-chloro-2,5,6-trifluoropyridine (III). Subsequent hydrogenolysis of the chlorine atom of (III) provided (IV), which was methylated with iodomethane in the presence of LDA yielding methylpyridine (V). Selective removal of the 6-fluorine of (V) to give (VI) was achieved by treatment with hydrazine hydrate in boiling n-propanol, followed by air oxidation of the intermediate pyridyl hydrazine. Alkylation of cyclopropaneacetonitrile (VII) with (VI) furnished the pyridinyl cyclopropaneacetonitrile (VIII). After acid cleavage of the tert-butyl group of (VIII), treatment with phosphoryl chloride in DMF gave rise to 4-chloropyridine derivative (IX). Then, alcoholysis of the cyano group of (IX) produced ethyl ester (X). Ester reduction by means of LiAlH4 and subsequent Swern oxidation of the resulting alcohol (XI) provided aldehyde (XII). The required quinolizinone system (XIII) was prepared by Knoevenagel condensation of pyridine aldehyde (XII) with diethyl malonate (1). The chiral piperidine (XV) was obtained by chiral HPLC resolution of racemic cis-N-carbobenzoxy-3-(tert-butoxycarbonylamino)-4-methylpiperidine (XIV), followed by hydrogenolytic cleavage of the carbobenzoxy group. Aromatic substitution of chloroquinolizinone (XIII) with piperidine (XV) yielded adduct (XVI). Hydrolysis of the ethyl ester of (XVI) with LiOH and further acid deprotection of the Boc group furnished the title compound.

Drug Information Express,Drug R&D,Chemical Database,Patent Search.
Copyright © 2006-2026 Drug Future. All rights reserved.Contact Us