【药物名称】
化学结构式(Chemical Structure):
参考文献No.40023
标题:Antivirals
作者:Nor閑n, R.; H鰃berg, M.; Engelhardt, P.; Sahlberg, C. (Medivir AB)
来源:WO 9936406
合成路线图解说明:

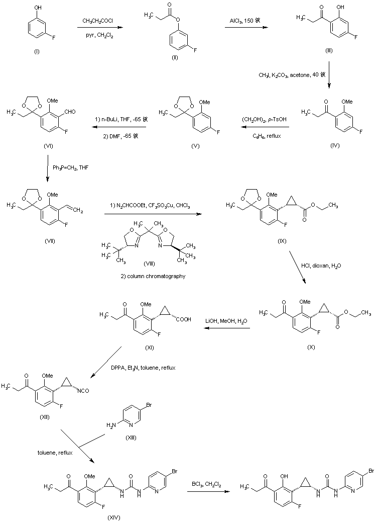
3-Fluorophenol (I) was converted into propionic ester (II) by treatment with propionyl chloride and pyridine. Fries rearrangement of (II) in the presence of AlCl3 furnished propiophenone (III). The phenolic hydroxyl group of (III) was then protected as the methyl ether (IV) using iodomethane and K2CO3. The keto group of (IV) was subsequently protected as the ethylene ketal (V) by treatment with ethylene glycol and p-toluenesulfonic acid. Lithiation of (V) with n-butyllithium in THF at -65 C, followed by formylation with N,N-dimethylformamide yielded aldehyde (VI). Styrene derivative (VII) was obtained by Wittig reaction of aldehyde (VI) with methylene triphenylphosphorane. Asymmetric cyclopropanation of (VII) with ethyl diazoacetate in the presence of cuprous triflate and the chiral auxiliary (VIII) gave the desired (1S,2R)-cis ester (IX) along with some trans isomer, that was separated by column chromatography. After ketal (IX) hydrolysis with HCl, the resulting keto ester (X) was saponified with LiOH to provide cyclopropanecarboxylic acid (XI). Curtius rearrangement of acid (XI) employing diphenylphosphoryl azide produced isocyanate (XII), which was subsequently condensed with 2-amino-5-bromopyridine (XIII) to afford urea (XIV). The methyl ether group of (XIV) was finally cleaved to the title phenol by means of boron trichloride in CH2Cl2.

参考文献No.552668
标题:Urea-PETT compounds as a new class of HIV-1 reverse transcriptase inhibitors.3.Synthesis and further structure-activity relationship studies of PETT analogues
作者:H鰃berg, M.; Sahlberg, C.; Engelhardt, P.; Noreen, R.; Kangasmetsa, J.; Johansson, N.G.; Oberg, B.; Vrang, L.; Zhang, H.; Sahlberg, B.L.; Unge, T.; Lovgren, S.; Fridborg, K.; Backbro, K.
来源:J Med Chem 1999,42(20),4150
合成路线图解说明:

3-Fluorophenol (I) was converted into propionic ester (II) by treatment with propionyl chloride and pyridine. Fries rearrangement of (II) in the presence of AlCl3 furnished propiophenone (III). The phenolic hydroxyl group of (III) was then protected as the methyl ether (IV) using iodomethane and K2CO3. The keto group of (IV) was subsequently protected as the ethylene ketal (V) by treatment with ethylene glycol and p-toluenesulfonic acid. Lithiation of (V) with n-butyllithium in THF at -65 C, followed by formylation with N,N-dimethylformamide yielded aldehyde (VI). Styrene derivative (VII) was obtained by Wittig reaction of aldehyde (VI) with methylene triphenylphosphorane. Asymmetric cyclopropanation of (VII) with ethyl diazoacetate in the presence of cuprous triflate and the chiral auxiliary (VIII) gave the desired (1S,2R)-cis ester (IX) along with some trans isomer, that was separated by column chromatography. After ketal (IX) hydrolysis with HCl, the resulting keto ester (X) was saponified with LiOH to provide cyclopropanecarboxylic acid (XI). Curtius rearrangement of acid (XI) employing diphenylphosphoryl azide produced isocyanate (XII), which was subsequently condensed with 2-amino-5-bromopyridine (XIII) to afford urea (XIV). The methyl ether group of (XIV) was finally cleaved to the title phenol by means of boron trichloride in CH2Cl2.

Drug Information Express,Drug R&D,Chemical Database,Patent Search.
Copyright © 2006-2026 Drug Future. All rights reserved.Contact Us