【药物名称】
化学结构式(Chemical Structure):
参考文献No.552665
标题:Synthesis and antiviral activity of ethidium - Arginine conjugates directed against the TAR RNA of HIV-1
作者:Peytou, V.; Condom, R.; Patino, N.; Guedj, R.; Aubertin, A.M.; Gelus, N.; Bailly, C.; Terreux, R.; Cabrol-Bass, D.
来源:J Med Chem 1999,42(20),4042
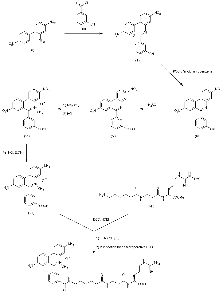
合成路线图解说明:

Acylation of amino derivative (I) with 3-cyanobenzoyl chloride (II) provides amide (III) which is then cyclized to give phenanthridine (IV) by refluxing with phosphoryl chloride in nitrobenzene and catalysis of SnCl4. Hydrolysis of the nitrile derivative (IV) in H2SO4 gives carboxylic acid derivative (V). Quaternization of (V) is carried out using dimethyl sulfate and after refluxing in a HCl solution, derivative (VI) is obtained. Reduction of (VI) using iron powder in a mixture of HCl-ethanol yields the ethidium chloride derivative (VII) which is coupled to the protected arginine-linking chain (VIII) (see below) in presence of DCC and HOBt. Last step is the deprotection of the arginine moiety with TFA and separation of the obtained products.

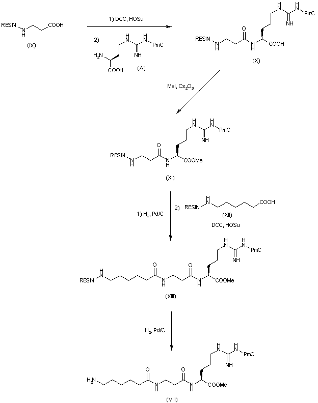
合成路线图解说明:

Derivative (VIII) is obtained as follows: Activation of protected aminoacid (IX) with DCC/HOSu and coupling with H-Arg(Pmc)-OH (A) yields carboxylic acid derivative (X) which is converted to methyl ester (XI). Catalytic hydrogenation of (XI) and coupling with the protected caproic acid (XII) in presence of DCC and HOSu provides derivative (XIII) which is finally catalytically hydrogenated yielding intermediate (VIII).

Drug Information Express,Drug R&D,Chemical Database,Patent Search.
Copyright © 2006-2026 Drug Future. All rights reserved.Contact Us