【药物名称】
化学结构式(Chemical Structure):
参考文献No.552664
标题:Design and synthesis and evaluation of a novel sequence-selective epoxide-containing DNA cross-linking agent based on the pyrrolo[2,1-c][1,4]benzodiazepine system
作者:Wilson, S.C.; Howard, P.W.; Forrow, S.M.; Hartley, J.A.; Adams, L.J.; Jenkins, T.C.; Kelland, L.R.; Thurston, D.E.
来源:J Med Chem 1999,42(20),4028
合成路线图解说明:

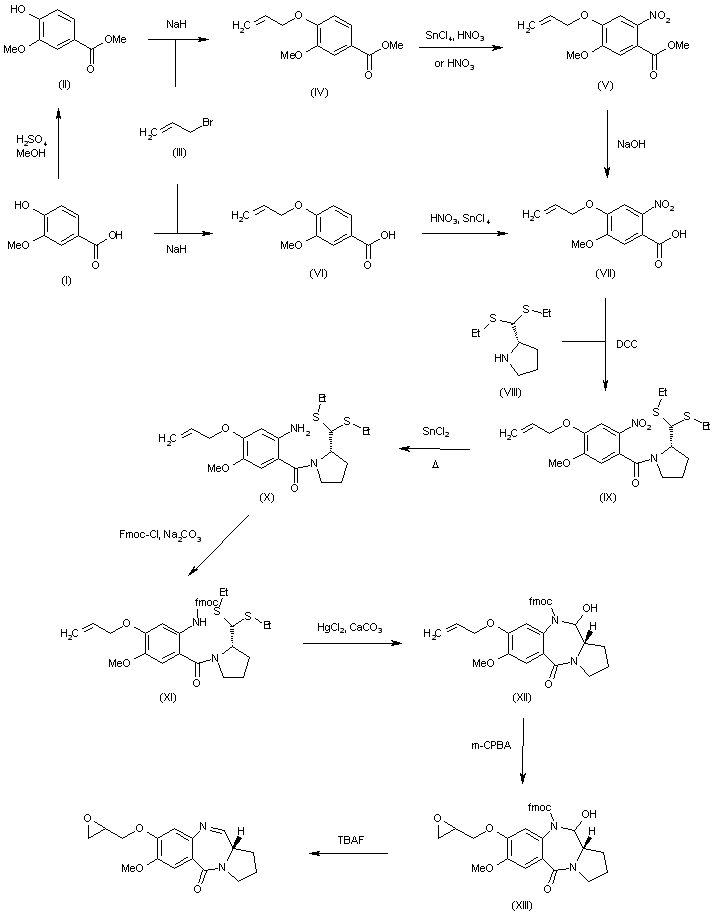
Intermediate (VII) is first synthesized by following one of two different routes: 1. Esterification of vanillic acid (I) by treatment with refluxing H2SO4/MeOH affords ester (II), which is then O-alkylated with NaH and allyl bromide (III) in THF to provide allyloxy derivative (IV). Nitration of (IV) by treatment either with SnCl4/HNO3 in dichloromethane or simply with HNO3 yields nitro derivative (V), which is finally hydrolyzed with aqueous NaOH in THF. 2. Alternatively, acid (I) is directly alkylated with NaH and allyl bromide (III) in THF, affording allyloxy derivative (VI), which is then nitrated by means of HNO3 and SnCl4 in dichloromethane to provide (VII). Once intermediate (VII) is obtained, the synthesis of the target product can be accomplished as follows: Coupling of carboxylic acid (VII) with diethyl thioacetal derivative (VIII) by means of DCC in dichloromethane gives nitro thioacetal (IX), whose nitro group is then reduced with SnCl2 in refluxing MeOH to provide amino thioacetal (X). Protection of the amino group of (X) with Fmoc-Cl and Na2CO3 in dioxane yields derivative (XI), which is then subjected to ring closure by treatment with HgCl2 and CaCO3 in acetonitrile to afford the tricyclic compound (XII). Epoxidation of the allyloxy group of (XII) with m-chloroperbenzoic acid (m-CPBA) in dichloromethane furnishes epoxide (XIII), whose Fmoc group is finally removed by treatment with tetrabutylammonium fluoride (TBAF) in DMF.

参考文献No.558164
标题:Design and synthesis of a novel epoxide-containing pyrrolo[2,1-c][1,4]benzodiazepine (PBD) via a new cyclization procedure
作者:Wilson, S.C.; et al.
来源:Tetrahedron Lett 1995,36(35),6333
合成路线图解说明:

Intermediate (VII) is first synthesized by following one of two different routes: 1. Esterification of vanillic acid (I) by treatment with refluxing H2SO4/MeOH affords ester (II), which is then O-alkylated with NaH and allyl bromide (III) in THF to provide allyloxy derivative (IV). Nitration of (IV) by treatment either with SnCl4/HNO3 in dichloromethane or simply with HNO3 yields nitro derivative (V), which is finally hydrolyzed with aqueous NaOH in THF. 2. Alternatively, acid (I) is directly alkylated with NaH and allyl bromide (III) in THF, affording allyloxy derivative (VI), which is then nitrated by means of HNO3 and SnCl4 in dichloromethane to provide (VII). Once intermediate (VII) is obtained, the synthesis of the target product can be accomplished as follows: Coupling of carboxylic acid (VII) with diethyl thioacetal derivative (VIII) by means of DCC in dichloromethane gives nitro thioacetal (IX), whose nitro group is then reduced with SnCl2 in refluxing MeOH to provide amino thioacetal (X). Protection of the amino group of (X) with Fmoc-Cl and Na2CO3 in dioxane yields derivative (XI), which is then subjected to ring closure by treatment with HgCl2 and CaCO3 in acetonitrile to afford the tricyclic compound (XII). Epoxidation of the allyloxy group of (XII) with m-chloroperbenzoic acid (m-CPBA) in dichloromethane furnishes epoxide (XIII), whose Fmoc group is finally removed by treatment with tetrabutylammonium fluoride (TBAF) in DMF.

Drug Information Express,Drug R&D,Chemical Database,Patent Search.
Copyright © 2006-2026 Drug Future. All rights reserved.Contact Us