【药物名称】GCA-186
化学结构式(Chemical Structure):
参考文献No.331588
标题:Synthesis and antiviral activity of 6-benzyl analogs of 1-[(2-hydroxyethoxy)methyl]-6-(phenylthio)thymine (HEPT) as potent and selective anti-HIV-1 agents
作者:Tanaka, H.; Takashima, H.; Ubasawa, M.; Sekiya, K.; Inouye, N.; Baba, M.; Shigeta, S.; Walker, R.T.; De Clerq, E.; Miyasaka, T.
来源:J Med Chem 1995,38(15),2860
合成路线图解说明:

The reaction of the silylated 5-isopropylpyrimidine (I) with chloromethyl ethyl ether (II) by means of KI in dichloromethane gives 1-(ethoxymethyl)-5-isopropyl-2-thiouracil (III), which is condensed with benzaldehyde (IV) by means of lithium diisopropylamide (LDA) in THF, and desulfurized by reaction with H2O2 and NaOH in water to afford 1-(ethoxymethyl)-5-isopropyl-6-(alpha-hydroxybenzyl)uracil (V). The reaction of (V) with acetic anhydride and pyridine gives the acetate (VI), which is finally submitted to hydrogenolysis with H2 over Pd/C in acetic acid/water/dioxane.

合成路线图解说明:

Lithiation of 1-(ethoxymethyl)-5-isopropyl-2-thiouracil (I) by means of LDA in cold THF, followed by condensation with 3,5-dimethylbenzaldehyde (II) gave the 6-(alpha-hydroxybenzyl) derivative (III). Oxidative hydrolysis of the thione function of (III) with H2O2 afforded the corresponding uracil (IV). Acetylation of (IV) with Ac2O in pyridine provided acetate ester (V), which was subjected to hydrogenolysis in the presence of Pd/C to furnish the title benzyl derivative.

参考文献No.561380
标题:Regioselective alkylation and arylation at the 6-position of pyrimidine: Syntheisis of 5-alkyl-6-arylmethyl-2,4-pyrimidinediones
作者:Lee, Y.S.; Kim, Y.H.
来源:Synth Commun 1999,29(9),1503
合成路线图解说明:

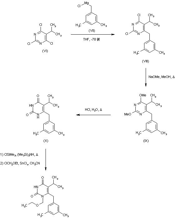
In an alternative procedure, condensation of 5-isopropyl-2,4,6-trichloropyrimidine (VI) with 3,5-dimethylbenzylmagnesium chloride (VII) in cold THF produced the 6-benzyl pyrimidine derivative (VIII). Subsequent reaction of (VIII) with sodium methoxide gave dimethoxypyrimidine (IX), which was hydrolyzed to uracil (X) with concentrated HCl. After silylation of (X) with chlorotrimethylsilane and hexamethyldisilazane, alkylation with chloromethyl ethyl ether in the presence of SnCl4 furnished the title compound.

Drug Information Express,Drug R&D,Chemical Database,Patent Search.
Copyright © 2006-2026 Drug Future. All rights reserved.Contact Us