【药物名称】3-Methyl-cycloSal-ACVMP
化学结构式(Chemical Structure):
参考文献No.566651
标题:Chemistry and anti-herpes simplex virus type 1 evaluation of cycloSal-nucleotides of acyclic nucleoside analogues
作者:Meier, C.; Habel, L.; Haller-Meier, F.; Lomp, A.; Herderich, M.; Kl鯿king, R.; Meerbach, A.; Wutzler, P.
来源:Antivir Chem Chemother 1998,9389
合成路线图解说明:

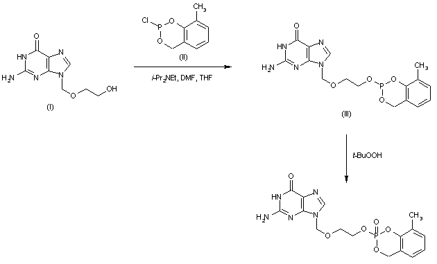
The condensation of acyclovir (I) with the cyclic chlorophosphane (II) in the presence of N,N-diisopropyl ethylamine afforded the acyclovir phosphite ester (III). This was then oxidized to the target phosphate using tert-butyl hydroperoxide.

Drug Information Express,Drug R&D,Chemical Database,Patent Search.
Copyright © 2006-2026 Drug Future. All rights reserved.Contact Us