【药物名称】
化学结构式(Chemical Structure):
参考文献No.45443
标题:beta-Lactamase inhibiting cpds.
作者:Nidamarthy, S.D.; Buynak, J.D.; Rao, A.S.; Doppalapudi, V.R.; Adam, G.C. (Research Corporation Technologies, Inc.)
来源:WO 0063213
合成路线图解说明:

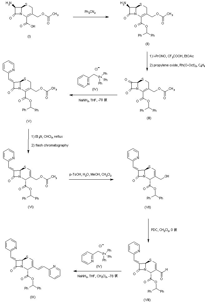
7-Aminocephalosporanic acid (I) was esterified with diphenyldiazomethane to produce the benzhydryl ester (II). Diazotization of (II) with isopropyl nitrite in the presence of trifluoroacetic acid, followed by treatment of the resulting diazo compound with propylene oxide and a catalytic amount of rhodium (II) octanoate, gave the corresponding 7-oxocephalosporanate (III). Wittig reaction of ketone (III) with the ylide resulting from 2-picolyltriphenylphosphonium chloride (IV) and NaNH2 in cold THF yielded olefin (V). Cephem double-bond isomerization upon treatment with triethylamine produced the 2-cephem derivative (VI) as the major compound, which was separated from the unreacted 3-cephem by flash chromatography. Acid hydrolysis of acetate ester (VI) gave rise to the corresponding alcohol (VII), which was further oxidized to aldehyde (VIII) by using pyridinium dichromate. Condensation of aldehyde (VIII) with the Wittig reagent (III) produced adduct (IX).

合成路线图解说明:

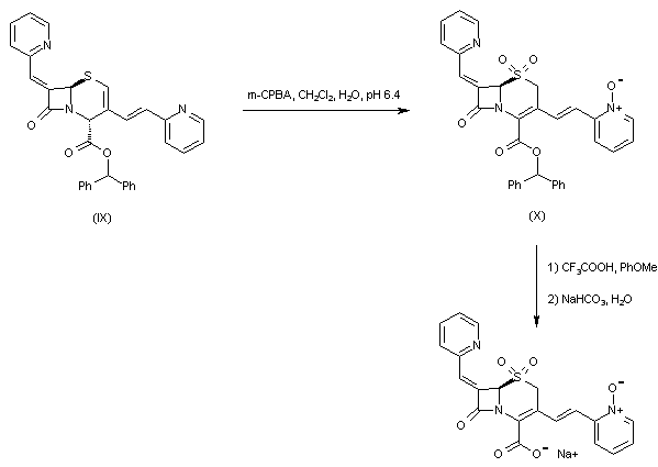
Oxidation of (IX) with concomitant double-bond isomerization by means of meta-chloroperbenzoic acid furnished sulfone (X). The benzhydryl ester of (X) was then cleaved using trifluoroacetic acid in anisole to produce the corresponding carboxylic acid, which was finally converted to the title sodium salt by treatment with NaHCO3.

参考文献No.550535
标题:New cephalosporin-derived beta-lactamase inhibitors
作者:Adam, G.; Doppalapudi, V.R.; Nidamarthy, S.D.; Buynak, J.D.; Rao, A.S.
来源:39th Intersci Conf Antimicrob Agents Chemother (Sept 26 1999, San Francisco) 1999,Abst F403
合成路线图解说明:

7-Aminocephalosporanic acid (I) was esterified with diphenyldiazomethane to produce the benzhydryl ester (II). Diazotization of (II) with isopropyl nitrite in the presence of trifluoroacetic acid, followed by treatment of the resulting diazo compound with propylene oxide and a catalytic amount of rhodium (II) octanoate, gave the corresponding 7-oxocephalosporanate (III). Wittig reaction of ketone (III) with the ylide resulting from 2-picolyltriphenylphosphonium chloride (IV) and NaNH2 in cold THF yielded olefin (V). Cephem double-bond isomerization upon treatment with triethylamine produced the 2-cephem derivative (VI) as the major compound, which was separated from the unreacted 3-cephem by flash chromatography. Acid hydrolysis of acetate ester (VI) gave rise to the corresponding alcohol (VII), which was further oxidized to aldehyde (VIII) by using pyridinium dichromate. Condensation of aldehyde (VIII) with the Wittig reagent (III) produced adduct (IX).

合成路线图解说明:

Oxidation of (IX) with concomitant double-bond isomerization by means of meta-chloroperbenzoic acid furnished sulfone (X). The benzhydryl ester of (X) was then cleaved using trifluoroacetic acid in anisole to produce the corresponding carboxylic acid, which was finally converted to the title sodium salt by treatment with NaHCO3.

Drug Information Express,Drug R&D,Chemical Database,Patent Search.
Copyright © 2006-2026 Drug Future. All rights reserved.Contact Us