【药物名称】trans-ISA-247, ISA-247, R-1524, ISAtx-247
化学结构式(Chemical Structure):
参考文献No.68862
标题:Novel cyclosporin analog formulations
作者:Yatscoff, R.W.; Foster, R.T.; Naicker, S.A. (Isotechnika Inc.)
来源:US 2003171264; WO 0332949
合成路线图解说明:

Acylation of ciclosporin (I) with Ac2O and DMAP gives the acetoxy ciclosporin derivative (II), which is oxidized with O3, KMnO4, OsO4 or NaIO4 in acetonitrile to yield the carbaldehyde (III). The Wittig condensation of aldehyde (III) with either allyltriphenylphosphonium bromide (IV) by means of t-BuOK in THF or NaOH in toluene (1-3) or allyldiphenylphosphine oxide (V) by means of butyl lithium in THF (1, 3) provides the (E)-diene derivative (VI), which is finally deacylated by means of K2CO3 in methanol (1-3).

合成路线图解说明:

Bromination of the acetoxy ciclosporin (II) with NBS and AIBN in refluxing CCl4 yields the allyl bromide (VII), which is condensed with triphenylphosphine in toluene at 100 oC to afford the triphenylphosphonium bromide (VIII). Finally, bromide (VIII) is condensed with formaldehyde by means of NaOH followed by deacetylation with K2CO3 in MeOH.

参考文献No.68863
标题:Synthesis of cyclosporin analogs
作者:Abel, M.; Yatscoff, R.W.; Foster, R.T.; Jayaraman, S.; Mair, H.-J.; Adam, J.-M.; Lohri, B.; Naicker, S.A. (F. Hoffmann-La Roche AG; Isotechnika Inc.)
来源:US 2003212249; WO 0333526
合成路线图解说明:

Acylation of ciclosporin (I) with Ac2O and DMAP gives the acetoxy ciclosporin derivative (II), which is oxidized with O3, KMnO4, OsO4 or NaIO4 in acetonitrile to yield the carbaldehyde (III). The Wittig condensation of aldehyde (III) with either allyltriphenylphosphonium bromide (IV) by means of t-BuOK in THF or NaOH in toluene (1-3) or allyldiphenylphosphine oxide (V) by means of butyl lithium in THF (1, 3) provides the (E)-diene derivative (VI), which is finally deacylated by means of K2CO3 in methanol (1-3).

合成路线图解说明:

Bromination of the acetoxy ciclosporin (II) with NBS and AIBN in refluxing CCl4 yields the allyl bromide (VII), which is condensed with triphenylphosphine in toluene at 100 oC to afford the triphenylphosphonium bromide (VIII). Finally, bromide (VIII) is condensed with formaldehyde by means of NaOH followed by deacetylation with K2CO3 in MeOH.

合成路线图解说明:

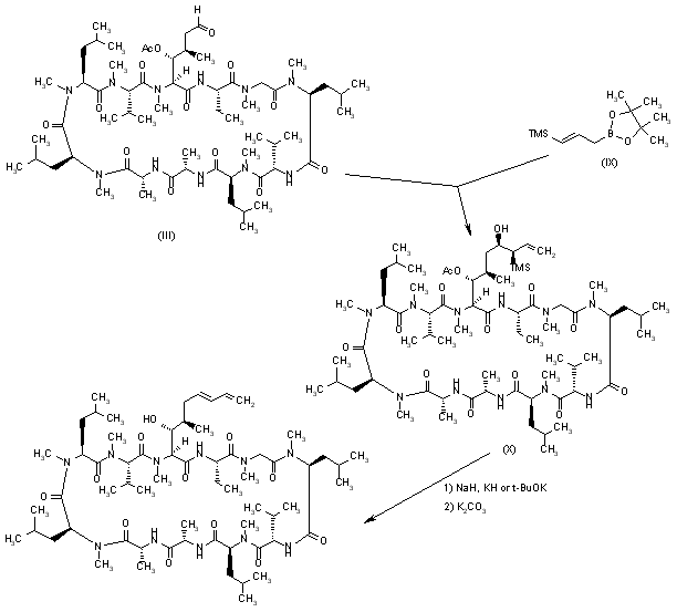
Condensation of aldehyde (III) with the silylated allylboronate (IX) in THF gives the silylated alcohol (X), which is submitted to a stereospecific elimination by means of concentrated H2SO4, and finally deacylated by means of K2CO3 in methanol.

参考文献No.68864
标题:Cyclosporine analogue mixtures and their use as immunomodulating agents
作者:Yatscoff, R.W.; Foster, R.T.; Naicker, S. (Isotechnika Inc.)
来源:US 2003139326; WO 0333527
合成路线图解说明:

Acylation of ciclosporin (I) with Ac2O and DMAP gives the acetoxy ciclosporin derivative (II), which is oxidized with O3, KMnO4, OsO4 or NaIO4 in acetonitrile to yield the carbaldehyde (III). The Wittig condensation of aldehyde (III) with either allyltriphenylphosphonium bromide (IV) by means of t-BuOK in THF or NaOH in toluene (1-3) or allyldiphenylphosphine oxide (V) by means of butyl lithium in THF (1, 3) provides the (E)-diene derivative (VI), which is finally deacylated by means of K2CO3 in methanol (1-3).

合成路线图解说明:

Bromination of the acetoxy ciclosporin (II) with NBS and AIBN in refluxing CCl4 yields the allyl bromide (VII), which is condensed with triphenylphosphine in toluene at 100 oC to afford the triphenylphosphonium bromide (VIII). Finally, bromide (VIII) is condensed with formaldehyde by means of NaOH followed by deacetylation with K2CO3 in MeOH.

合成路线图解说明:

Condensation of aldehyde (III) with the silylated allylboronate (IX) in THF gives the silylated alcohol (X), which is submitted to a stereospecific elimination by means of concentrated H2SO4, and finally deacylated by means of K2CO3 in methanol.

参考文献No.819884
标题:ISA-247
作者:McIntyre, J.A.; Casta馿r, J.
来源:Drugs Fut 2004,29(7),680
合成路线图解说明:

Acylation of ciclosporin (I) with Ac2O and DMAP gives the acetoxy ciclosporin derivative (II), which is oxidized with O3, KMnO4, OsO4 or NaIO4 in acetonitrile to yield the carbaldehyde (III). The Wittig condensation of aldehyde (III) with either allyltriphenylphosphonium bromide (IV) by means of t-BuOK in THF or NaOH in toluene (1-3) or allyldiphenylphosphine oxide (V) by means of butyl lithium in THF (1, 3) provides the (E)-diene derivative (VI), which is finally deacylated by means of K2CO3 in methanol (1-3).

合成路线图解说明:

Bromination of the acetoxy ciclosporin (II) with NBS and AIBN in refluxing CCl4 yields the allyl bromide (VII), which is condensed with triphenylphosphine in toluene at 100 oC to afford the triphenylphosphonium bromide (VIII). Finally, bromide (VIII) is condensed with formaldehyde by means of NaOH followed by deacetylation with K2CO3 in MeOH.

合成路线图解说明:

Condensation of aldehyde (III) with the silylated allylboronate (IX) in THF gives the silylated alcohol (X), which is submitted to a stereospecific elimination by means of concentrated H2SO4, and finally deacylated by means of K2CO3 in methanol.

Drug Information Express,Drug R&D,Chemical Database,Patent Search.
Copyright © 2006-2026 Drug Future. All rights reserved.Contact Us