【药物名称】DF-1601A
化学结构式(Chemical Structure):
参考文献No.39425
标题:Geminal carboxylic acids and esters thereof pharmaceutical formulations containing them useful in the treatment of bone dysmetabolism
作者:Fiorentino, S.; Allegretti, M.; Mantovanini, M.; Clavenna, G.; Caselli, G.; Gandolfi, C.A. (Domp?Farmaceutici SpA)
来源:EP 0792878; US 5908863
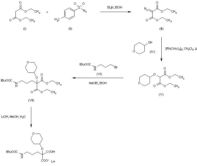
合成路线图解说明:

Diethyl diazomalonate (III) was prepared by reaction of diethyl malonate (I) with p-tosyl azide (II) in the presence of Et3N. Subsequent coupling of (II) with 4-hydroxytetrahydropyran (IV) using dirhodium tetraacetate as the catalyst afforded ether (V). Alkylation of (V) with 3-(tert-butoxycarbonylamino)propyl bromide (VI) yielded adduct (VII). Finally, hydrolysis of ester groups of (VII) employing LiOH furnished the title dicarboxylic acid lithium salt.

Drug Information Express,Drug R&D,Chemical Database,Patent Search.
Copyright © 2006-2026 Drug Future. All rights reserved.Contact Us