【药物名称】
化学结构式(Chemical Structure):
参考文献No.40077
标题:Novel bicyclene-substd. oxazolidinones
作者:Endermann, R.; H鋌ich, D.; Ruppelt, M.; Raddatz, S.; Rosentreter, U.; Riedl, B.; Bartel, S.; Wild, H.; Stolle, A.; Guarnieri, W.; Kroll, H.-P. (Bayer AG)
来源:DE 19802239; WO 9937641
合成路线图解说明:

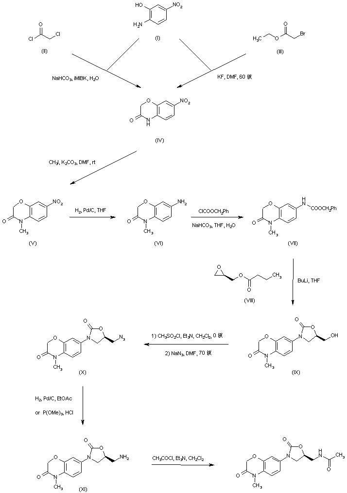
Benzoxazinone (IV) was prepared by condensation of 2-amino-5-nitrophenol (I) with either chloroacetyl chloride (II) in the presence of NaHCO3 or ethyl bromoacetate (III) in the presence of KF. Subsequent N-alkylation of (IV) with iodomethane provided (V). After reduction of the nitro group of (V) to amine (VI) by hydrogenation over Pd/C, condensation with benzyl chloroformate afforded carbamate (VII). The chiral oxazolidinone (IX) was obtained by reaction of (VII) with (-)-(R)-glycidyl butyrate (VIII) in the presence of butyllithium in THF at low temperature. Conversion of (IX) to mesylate, followed by displacement with NaN3 gave azide (X). Amine (XI) was then obtained by either hydrogenation of (X) over Pd/C or by reduction with trimethyl phosphite. Finally, reaction of (XI) with acetyl chloride and triethylamine provided the title acetamide.

参考文献No.550590
标题:Synthesis and antibacterial activity of novel heteroaryl oxazolidinones: II. Benzoxazinone- and benzthiazinone-oxazolidinones
作者:Haebich, D.; Haerter, M.; Bartel, S.; Riedl, B.; Stolle, A.; Raddatz, S.; Kroll, H.P.; Guarnieri, W.; Endermann, R.; Wild, H.; Rosentreter, U.; Ruppelt, M.
来源:39th Intersci Conf Antimicrob Agents Chemother (Sept 26 1999, San Francisco) 1999,Abst F566
合成路线图解说明:

Benzoxazinone (IV) was prepared by condensation of 2-amino-5-nitrophenol (I) with either chloroacetyl chloride (II) in the presence of NaHCO3 or ethyl bromoacetate (III) in the presence of KF. Subsequent N-alkylation of (IV) with iodomethane provided (V). After reduction of the nitro group of (V) to amine (VI) by hydrogenation over Pd/C, condensation with benzyl chloroformate afforded carbamate (VII). The chiral oxazolidinone (IX) was obtained by reaction of (VII) with (-)-(R)-glycidyl butyrate (VIII) in the presence of butyllithium in THF at low temperature. Conversion of (IX) to mesylate, followed by displacement with NaN3 gave azide (X). Amine (XI) was then obtained by either hydrogenation of (X) over Pd/C or by reduction with trimethyl phosphite. Finally, reaction of (XI) with acetyl chloride and triethylamine provided the title acetamide.

参考文献No.569004
标题:A facile synthesis of 2-alkyl(aryl)-6- and -7-nitro-3-oxo-3,4-dihydro-2H-1,4-benzoxazines
作者:Shridhar, D.R.; et al.
来源:Synthesis 1982,986
合成路线图解说明:

Benzoxazinone (IV) was prepared by condensation of 2-amino-5-nitrophenol (I) with either chloroacetyl chloride (II) in the presence of NaHCO3 or ethyl bromoacetate (III) in the presence of KF. Subsequent N-alkylation of (IV) with iodomethane provided (V). After reduction of the nitro group of (V) to amine (VI) by hydrogenation over Pd/C, condensation with benzyl chloroformate afforded carbamate (VII). The chiral oxazolidinone (IX) was obtained by reaction of (VII) with (-)-(R)-glycidyl butyrate (VIII) in the presence of butyllithium in THF at low temperature. Conversion of (IX) to mesylate, followed by displacement with NaN3 gave azide (X). Amine (XI) was then obtained by either hydrogenation of (X) over Pd/C or by reduction with trimethyl phosphite. Finally, reaction of (XI) with acetyl chloride and triethylamine provided the title acetamide.

Drug Information Express,Drug R&D,Chemical Database,Patent Search.
Copyright © 2006-2026 Drug Future. All rights reserved.Contact Us