【药物名称】
化学结构式(Chemical Structure):
参考文献No.38270
标题:Thiadiazolyl and oxadiazolyl phenyl oxazolidinone antibacterial agents
作者:Gadwood, R.C.; Thomasco, L.M.; Anderson, D.J. (Pharmacia Corp.)
来源:EP 0994874; WO 9902525
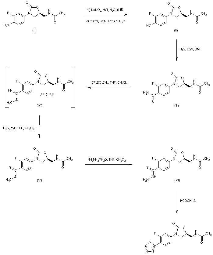
合成路线图解说明:

Diazotization of the known aniline (I), followed by Sandmeyer reaction with CuCN and KCN afforded nitrile (II). Addition of hydrogen sulfide to (II) in the presence of Et3N in hot DMF led to the thioamide (III). Subsequent alkylation of (III) with methyl triflate gave the intermediate thioimidate (IV), and a further treatment of (IV) with hydrogen sulfide and pyridine provided dithioester (V). Displacement of the methylthio group of (V) by hydrazine yielded thiohydrazide (VI). Finally, cyclization of (VI) to the target thiadiazole was achieved upon refluxing in formic acid.

合成路线图解说明:

Diazotization of the known aniline (I), followed by Sandmeyer reaction with CuCN and KCN afforded nitrile (II). Addition of hydrogen sulfide to (II) in the presence of Et3N in hot DMF led to the thioamide (III). Subsequent alkylation of (III) with methyl triflate gave the intermediate thioimidate (IV), and a further treatment of (IV) with hydrogen sulfide and pyridine provided dithioester (V). Displacement of the methylthio group of (V) by hydrazine yielded thiohydrazide (VI). This was cyclized to the required thiadiazole (VII) upon treatment with 3-carbomethoxypropionyl chloride (A) in refluxing THF. Aminolysis of the ester group of (VII) with methanolic ammonia at 100 C in a sealed vessel provided amide (VIII). This was finally dehydrated to the title nitrile using trifluoroacetic anhydride and pyridine.

参考文献No.550596
标题:Synthesis and antibacterial activity of azolylphenyl oxazolidinones having 1,3,4-thiadiazolyl C-rings
作者:Ford, C.W.; Gadwood, R.C.; Thomasco, L.M.; Weaver, E.A.Zurenko, G.E.
来源:39th Intersci Conf Antimicrob Agents Chemother (Sept 26 1999, San Francisco) 1999,Abst F571
合成路线图解说明:

Diazotization of the known aniline (I), followed by Sandmeyer reaction with CuCN and KCN afforded nitrile (II). Addition of hydrogen sulfide to (II) in the presence of Et3N in hot DMF led to the thioamide (III). Subsequent alkylation of (III) with methyl triflate gave the intermediate thioimidate (IV), and a further treatment of (IV) with hydrogen sulfide and pyridine provided dithioester (V). Displacement of the methylthio group of (V) by hydrazine yielded thiohydrazide (VI). Finally, cyclization of (VI) to the target thiadiazole was achieved upon refluxing in formic acid.

合成路线图解说明:

Diazotization of the known aniline (I), followed by Sandmeyer reaction with CuCN and KCN afforded nitrile (II). Addition of hydrogen sulfide to (II) in the presence of Et3N in hot DMF led to the thioamide (III). Subsequent alkylation of (III) with methyl triflate gave the intermediate thioimidate (IV), and a further treatment of (IV) with hydrogen sulfide and pyridine provided dithioester (V). Displacement of the methylthio group of (V) by hydrazine yielded thiohydrazide (VI). This was cyclized to the required thiadiazole (VII) upon treatment with 3-carbomethoxypropionyl chloride (A) in refluxing THF. Aminolysis of the ester group of (VII) with methanolic ammonia at 100 C in a sealed vessel provided amide (VIII). This was finally dehydrated to the title nitrile using trifluoroacetic anhydride and pyridine.

Drug Information Express,Drug R&D,Chemical Database,Patent Search.
Copyright © 2006-2026 Drug Future. All rights reserved.Contact Us