【药物名称】FMA-481
化学结构式(Chemical Structure):
参考文献No.40637
标题:Erythromycin A derivs.
作者:Ishii, T.; Tanikawa, T.; Matsuura, A.; Sugimoto, T.; Asaka, T.; Kashimura, M. (Taisho Pharmaceutical Co., Ltd.)
来源:EP 0945459; WO 9823628
合成路线图解说明:

The acetylation of clarithromycin (I) with acetic anhydride gives the diacetate (II), which is acylated with CDI yielding the 12-O-(imidazolylcarbonyl compound (III). The cyclization of (III) with ethylenediamine (IV) affords the cyclic carbamate (V), which is alkylated by reductocondensation with pyridine-3-carbaldehyde (VI) and NaBH(OAc)3 to give the secondary amine (VII). The methylation of this amine with formaldehyde and NaBH(OAc)3 yields the corresponding tertiary amine (VIII), which is treated with aqueous HCl to provide the descladinosyl compound (IX). Finally, this compound is acylated with 2-(2-pyridyl)acetic acid (X) by means of 1-[3-(dimethylamino)propyl]-3-ethylcarbodiimide (WSC), and deacetylated with methanol to afford the target compound.

合成路线图解说明:

The acetylation of clarithromycin (I) with acetic anhydride gives the diacetate (II), which is acylated with CDI yielding the 12-O-(imidazolylcarbonyl) compound (III). The cyclization of (III) with ethylenediamine (IV) affords the cyclic carbamate (V), which is alkylated by reductocondensation with quinoline-3-carbaldehyde (VI) and NaBH(OAc)3 to give the secondary amine (VII). The methylation of this amine with formaldehyde and NaBH(OAc)3 yields the corresponding tertiary amine (VIII), which is treated with aqueous HCl to provide the descladinosyl compound (IX). Finally, this compound is acylated with 2-(2-pyridyl)acetic acid (X) by means of 1-[3-(dimethylamino)propyl]-3-ethylcarbodiimide (WSC) and deacetylated with methanol to afford the target compound.

参考文献No.550702
标题:Structure activity studies leading potent acyclides: 3-O-Acyl-5-O-desosaminylerythronolide 11,12-carbamates
作者:Tanikawa, T.; Akashi, T.; Manaka, A.; Suzuki, K.; Asaka, T.; Adachi, T.; Ishii, T.; Sugiyama, H.; Kashimura, M.; Saito, H.; Morimoto, S.
来源:39th Intersci Conf Antimicrob Agents Chemother (Sept 26 1999, San Francisco) 1999,Abst F2159
合成路线图解说明:

The acetylation of clarithromycin (I) with acetic anhydride gives the diacetate (II), which is acylated with CDI yielding the 12-O-(imidazolylcarbonyl compound (III). The cyclization of (III) with ethylenediamine (IV) affords the cyclic carbamate (V), which is alkylated by reductocondensation with pyridine-3-carbaldehyde (VI) and NaBH(OAc)3 to give the secondary amine (VII). The methylation of this amine with formaldehyde and NaBH(OAc)3 yields the corresponding tertiary amine (VIII), which is treated with aqueous HCl to provide the descladinosyl compound (IX). Finally, this compound is acylated with 2-(2-pyridyl)acetic acid (X) by means of 1-[3-(dimethylamino)propyl]-3-ethylcarbodiimide (WSC), and deacetylated with methanol to afford the target compound.

合成路线图解说明:

The selective hydrolysis of clarithromycin (I) with aqueous HCl, followed by acylation with acetic anhydride gives the monoacetylated descladinosyl compound (XI), which by reaction with trichloromethyl chloroformate (TCF) yields the cyclic carbonate (XII). The reaction of (XII) with 1,1,3,3-tetramethylguanidine (TMG) affords intermediate (XIII), which is selecti-ely acylated with 2-(2-pyridyl)acetic acid (X) and WSC giving the 3-O-acylated compound (XIV). The activation of (XIV) with CDI affords the 12-O-imidazolylcarbonyl derivative (XV), which is cyclized with ethylenediamine (IV) providing the carbamate (XVI). The alkylation of the primary amine of (XVI) by reductocondensation with pyridine-3-carbaldehyde (VI) and NaBH(OAc)3 gives the secondary amine (XVII).

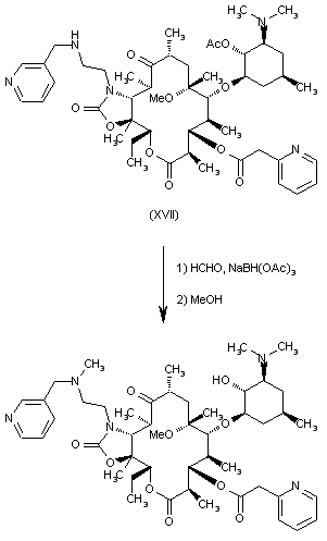
合成路线图解说明:

Finally, the secondary amine of (XVII) is methylated with formaldehyde and NaBH(OAc)3 and deacetylated with methanol to afford the target compound.

合成路线图解说明:

The acetylation of clarithromycin (I) with acetic anhydride gives the diacetate (II), which is acylated with CDI yielding the 12-O-(imidazolylcarbonyl) compound (III). The cyclization of (III) with ethylenediamine (IV) affords the cyclic carbamate (V), which is alkylated by reductocondensation with quinoline-3-carbaldehyde (VI) and NaBH(OAc)3 to give the secondary amine (VII). The methylation of this amine with formaldehyde and NaBH(OAc)3 yields the corresponding tertiary amine (VIII), which is treated with aqueous HCl to provide the descladinosyl compound (IX). Finally, this compound is acylated with 2-(2-pyridyl)acetic acid (X) by means of 1-[3-(dimethylamino)propyl]-3-ethylcarbodiimide (WSC) and deacetylated with methanol to afford the target compound.

合成路线图解说明:

The selective hydrolysis of clarithromycin (I) with aqueous HCl, followed by acylation with acetic anhydride gives the monoacetylated descladinosyl compound (XI), which by reaction with trichloromethyl chloroformate (TCF) yields the cyclic carbonate (XII). The reaction of (XII) with 1,1,3,3-tetramethylguanidine (TMG) affords intermediate (XIII), which is selectively acylated with 2-(2-pyridyl)acetic acid (X) and WSC giving the 3-O-acylated compound (XIV). The activation of (XIV) with CDI affords the 12-O-imidazolylcarbonyl derivative (XV), which is cyclized with ethylenediamine (IV) providing the carbamate (XVI). The alkylation of the primary amine of (XVI) by reductocondensation with quinoline-3-carbaldehyde (VI) and NaBH(OAc)3 gives the secondary amine (XVII).

合成路线图解说明:

Finally, the secondary amine of (XVII) is methylated with formaldehyde and NaBH(OAc)3 and deacetylated with methanol to afford the target compound.

Drug Information Express,Drug R&D,Chemical Database,Patent Search.
Copyright © 2006-2026 Drug Future. All rights reserved.Contact Us