【药物名称】BZA-[99mTcN], [99mTcN]-BZA
化学结构式(Chemical Structure):
参考文献No.541597
标题:Technetium-99m radiolabelling of an N-amino-alkyl-benzamide nitrido- and oxo-technetium bis(aminoethanethiol) derivative synthesis and biological results. Potential melanoma tracer agents
作者:Auzeloux, P.; et al.
来源:J Label Compd Radiopharm 1999,42(6),567
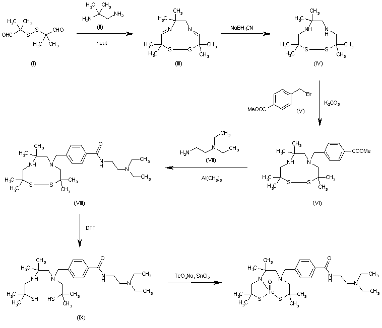
合成路线图解说明:

The cyclization of 2,2,5,5-tetramethyl-3,4-dithiahexane-1,6-dial (I) with 2-methylpropane-1,2-diamine (II) in hoot ethanol gives 3,3,6,6,10,10-hexamethyl-1,2-dithia-5,8-diazacyclodeca-4,8-diene (III), which is reduced with NaBH3CN in ethanol to afford the corresponding cyclodecane compound (IV). The condensation of (IV) with 4-(bromomethyl)benzoic acid methyl ester (V) by means of K2CO3 in refluxing acetonitrile yields the adduct (VI), which is condensed with 2-(diethylamino)ethylamine (VII) by means of Al(CH3)3 in refluxing dichloromethane to provide the corresponding amide (VIII). Ring opening of (VIII) at the S-S bond by means of dithiothreitol (DTT) and TEA in MeOH gives the dithiol (IX), which is finally treated with TcO4Na, SnCl2 and NaOH in ethanol/water.

合成路线图解说明:

The cyclization of 2,2,5,5-tetramethyl-3,4-dithiahexane-1,6-dial (I) with 2-methylpropane-1,2-diamine (II) in hot ethanol gives 3,3,6,6,10,10-hexamethyl-1,2-dithia-5,8-diazacyclodeca-4,8-diene (III), which is reduced with NaBH3CN in ethanol to afford the corresponding cyclodecane compound (IV). The condensation of (IV) with 4-(bromomethyl)benzoic acid methyl ester (V) by means of K2CO3 in refluxing acetonitrile yields the adduct (VI), which is condensed with 2-(diethylamino)ethylamine (VII) by means of Al(CH3)3 in refluxing dichloromethane to provide the corresponding amide (VIII). Ring opening of (VIII) at the S-S bond by means of dithiothreitol (DTT) and TEA in methanol gives the dithiol (IX), which is finally treated with TcO4Na, PPh3 and N,S-dimethyldithiocarbazate (MDTCZ) in ethanol / 1M HCl.

Drug Information Express,Drug R&D,Chemical Database,Patent Search.
Copyright © 2006-2026 Drug Future. All rights reserved.Contact Us