| 参考文献No. | 550585 |
| 标题: | Anti-MRSA dihydrofolate reductase inhibitors: Synthesis and SAR |
| 作者: | Guerry, P.; Locher, H.H.; Hubschwerlen, C.; Wyss, P.C.; Jolidon, S.; Hartman, P.G.; Stalder, H.; Specklin, J.L. |
| 来源: | 39th Intersci Conf Antimicrob Agents Chemother (Sept 26 1999, San Francisco) 1999,Abst F1800 |
 |
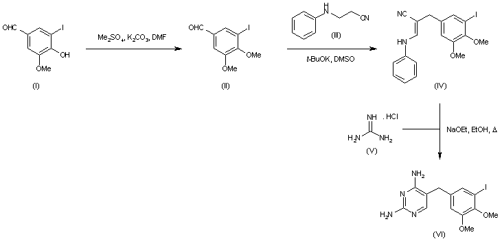
| 合成路线图解说明: Methylation of 5-iodovanillin (I) with dimethyl sulfate and K2CO3 afforded dimethoxy derivative (II). This was condensed with 3-anilinopropionitrile (III) in the presence of potassium tert-butoxide yielding the enamino nitrile (IV). Subsequent cyclization of (IV) with guanidine hydrochloride (V) produced diaminopyrimidine (VI). |
 |
| 合成路线图解说明: The condensation between ethyl picolinate (VII) and phenethylamine (VIII) at 180 C produced amide (IX), which was subsequently cyclized to dihydroisoquinoline (X) either by heating with polyphosphoric acid or by chlorination with PCl5, followed by cyclization in the presence of AlCl3. Catalytic hydrogenation of (X) gave rise to the racemic tetrahydroisoquinoline, which was resolved employing D-(-)-tartaric acid. The desired (R)-enantiomer (XI) was acylated with acryloyl chloride (XII) to produce acrylamide (XIII). Finally, palladium-catalyzed coupling of (XIII) with aryl iodide (VI) furnished the title compound. |
 |
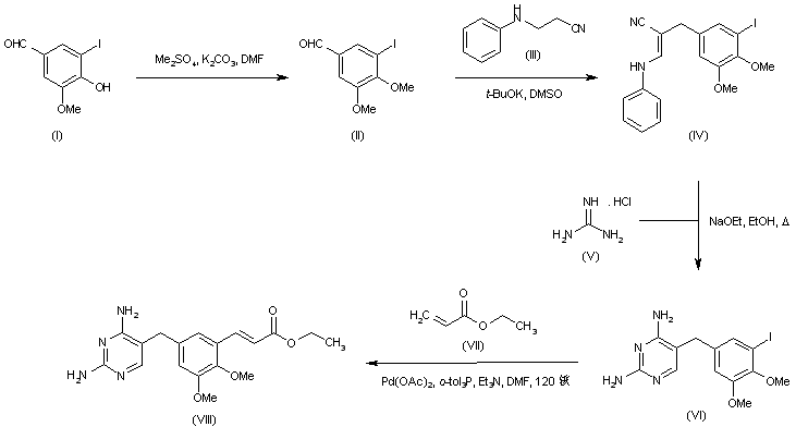
| 合成路线图解说明: Methylation of 5-iodovanillin (I) with dimethyl sulfate and K2CO3 afforded dimethoxy derivative (II). This was condensed with 3-anilinopropionitrile (III) in the presence of potassium tert-butoxide yielding the enamino nitrile (IV). Subsequent cyclization of (IV) with guanidine hydrochloride (V) produced diaminopyrimidine (VI). Cinnamate derivative (VIII) was then obtained by palladium-catalyzed coupling of (VI) with ethyl acrylate (VII). |
 |
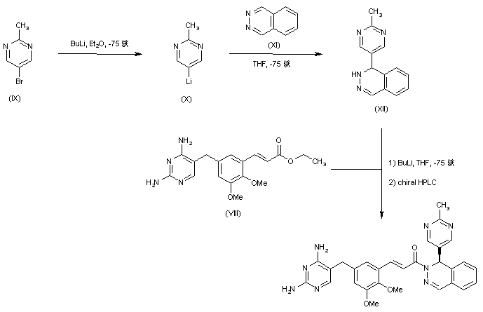
| 合成路线图解说明: Lithiopyrimidine (X), prepared from 5-bromo-2-methylpyrimidine (IX) was added to phthalazine (XI) to produce adduct (XII). Displacement of ester (VIII) by dihydrophthalazine (XII) in the presence of butyllithium furnished the corresponding racemic amide. The desired (R)-enantiomer was finally isolated by chiral chromatography on a Chiralpak AD column. |