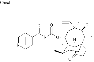
【药物名称】SB-247386
化学结构式(Chemical Structure):
参考文献No.33832
标题:Carbamoyloxy derivs. of mutuline and their use as antibacterials
作者:Hinks, J.D.; Takle, A.K.; Hunt, E. (SmithKline Beecham plc)
来源:EP 0874809; EP 0934316; JP 2000503642; US 6121281; WO 9725309; WO 9805659
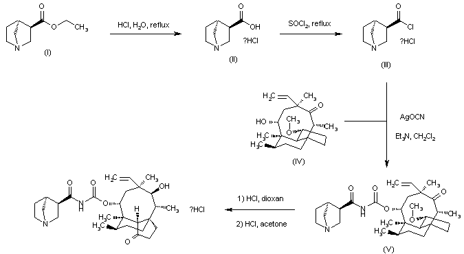
合成路线图解说明:

The reaction of quinuclidine-4-carboxylic acid (I) with refluxing SOCl2 gives the corresponding acyl chloride (II), which is treated with silver cyanate in dichloromethane yielding intermediate (II). The condensation of (III) with 3-deoxo-11-deoxy-3(R)-methoxy-11-oxo-4-epi-mutilin (IV) and triethylamine in dichloromethane affords the corresponding carbamate (V), which is finally rearranged by a treatment with con. HCl in dioxane.

合成路线图解说明:

Ethyl (3R,4S)-1-azabicyclo[2.2.1]heptane-3-carboxylate (I) was hydrolyzed in boiling HCl, and the resulting acid (II) was further converted to acid chloride (III) by treatment with SOCl2. Condensation of acid chloride (III) with (3R)-3-deoxo-11-deoxy-3-methoxy-11-oxo-4-epimutilin (IV) in the presence of silver cyanate furnished the acylcarbamate ester (V). Acid-promoted rearrangement of (V) to the mutilin acylcarbamate then gave the title compound, which was isolated as the corresponding hydrochloride salt.

Drug Information Express,Drug R&D,Chemical Database,Patent Search.
Copyright © 2006-2026 Drug Future. All rights reserved.Contact Us