【药物名称】SCH-59884
化学结构式(Chemical Structure):
参考文献No.31901
标题:Tetrahydrofuran antifungals
作者:Saksena, A.K.; Girijavallabhan, V.M.; Lovey, R.G.; Pike, R.E.; Wang, H.; Liu, Y.-T.; Ganguly, A.K.; Bennett, F. (Schering Corp.)
来源:EP 0773941; WO 9638443
合成路线图解说明:

2-Chloro-2',4'-difluoroacetophenone (I) was converted to acetate ester (II) by displacement of the chlorine with sodium acetate in the presence of NaI. Subsequent Wittig reaction of (II) with methylenetriphenylphosphorane produced the allyl ester (III), which was hydrolyzed to alcohol (IV) with KOH in aqueous dioxan. Asymmeytric Sharpless epoxidation of (IV) with tert-butyl hydroperoxide in the presence of L-(+)-diethyl tartrate and titanium tetraisopropoxide furnished the (S)-epoxide (V). Ring opening of (V) with the sodium salt of 1,2,4-triazole (VI) gave the triazolyl diol (VII). After conversion of the primary hydroxyl group to tosylate (VIII), ring closure in the presence of NaH generated epoxide (IX). Condensation of (IX) with diethyl malonate afforded a mixture of diastereomeric butyrolactones (Xa, Xb), which was converted to triol (XI) by reduction with lithium borohydride. Treatment of (XI) with p-toluenesulfonyl chloride produced ditosylate (XII). Ring closure of (XII) employing NaH in boiling toluene gave rise to a diastereomeric mixture of tetrahydrofurans, from which the required cis isomer (XIII) was isolated by column chromatography.

合成路线图解说明:

Triol (XI) was enantioselectively acetylated to the (R)-monoacetate ester (XIV) employing EtOAc and porcine pancreatic lipase. Protection of the primary hydroxyl group of (XIV) with dihydropyran produced the tetrahydropyranyl ether (XV). After hydrolysis of the acetate ester of (XV) with KOH, tosylation of the resulting alcohol (XVI) furnished (XVII), which was subsequently cyclized to the cis tetrahydrofuran derivative (XVIII) in the presence of NaH. Acid deprotection of the tetrahydropyranyl ether of (XVIII) gave alcohol (XIX), which was then converted to tosylate (XIII).

合成路线图解说明:

Coupling of tosylate (XIII) with the sodium salt of phenol (XX) produced ether (XXI). The nitro group of (XXI) was then reduced to amine (XXII) by hydrogenation over Pt/C. Subsequent condensation of (XXII) with phenyl chloroformate in pyridine afforded the phenyl carbamate (XXIII), which was reacted with hydrazine to yield the semicarbazide derivative (XXIV). Ring closure of (XXIV) with formamidine acetate then provided triazolone (XXV).

合成路线图解说明:

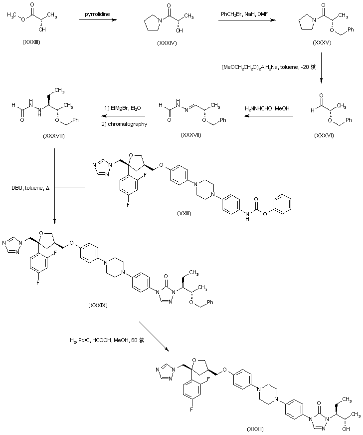
Methyl (S)-lactate (XXVI) was protected as the benzyloxymethyl ether (XXVII) and subsequently reduced to aldehyde (XXVIII) with DIBAL in toluene at -78 C. Addition of ethylmagnesium bromide to this aldehyde (XXVIII) produced a diastereomeric mixture of carbinols. The required (2S,3R) isomer (XXIX) was isolated by column chromatography and then converted to brosylate ester (XXX) by reaction with 4-bromobenzenesulfonyl chloride. Nucleophilic displacement of the brosylate group of (XXX) by triazolone (XXV) produced the N-alkylated triazolone (XXXI). Then, acid cleavage of the benzyloxymethyl protec-ting group of (XXXI) provided alcohol (XXXII).

合成路线图解说明:

In an alternative synthesis of compound (XXXII), methyl (S)-lactate (XXXIII) was converted to amide (XXXIV) by treatment with pyrrolidine, and then protected as the benzyl ether (XXXV). Reduction of (XXXV) by means of sodium bis(methoxyethoxy)aluminum hydride produced aldehyde (XXXVI). Condensation of (XXXVI) with formic hydrazide produced the formyl hydrazone (XXXVII), to which was added ethylmagnesium bromide affording a mixture of diastereoisomeric hydrazides. Separation by column chromatography provided the required (S,S) isomer (XXXVIII). Cyclization of (XXXVIII) with the phenyl carbamate (XXIII) in the presence of DBU furnished the triazolone (XXXIX). This was deprotected by hydrogenation in the presence of Pd/C and formic acid to produce compound (XXXII)

参考文献No.38917
标题:Tetrahydrofuran phosphate- and hydroxy esters, as prodrugs for the corresponding antifungal agent
作者:Bennett, F.; Girijavallabhan, V.M.; Patel, N.M.; Ganguly, A.; Saksena, A.K. (Schering Corp.)
来源:EP 1027349; WO 9915522
合成路线图解说明:

Esterification of alcohol (XXXII) with either 4-bromobutyric acid and DCC or 4-bromobutyryl chloride gave rise to bromoester (XL). Then displacement of the bromine atom of (XL) with silver dibenzylphosphate yielded phosphate ester (XLI). The title compound was then obtained by hydrogenolysis of the benzyl ester groups of (XLI) over Pd/C.

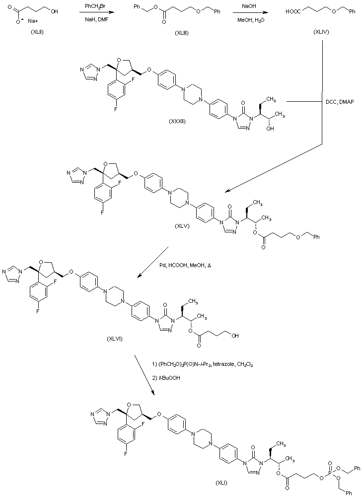
合成路线图解说明:

Sodium 4-hydroxybutyrate (XLII) was diben-zylated to give (XLIII), and then hydrolyzed with NaOH yielding 4-benzyl-oxybutyric acid (XLIV). Coupling of (XLIV) with alcohol (XXXII) then afforded ester (XLV). Deprotection of the benzyl ether of (XLV) by transfer hydrogenation with HCOOH and Pd catalyst produced hydroxy ester (XLVI). The precursor dibenzyl phosphate (XLI) was then obtained by coupling of (XLVI) with N,N-diisopropyl dibenzyl phosphoramidite, followed by oxidation of the intermediate phosphite with tertbutyl hydroperoxide. Finally, the hydrogenolysis of the benzyl groups of (XLI) as above furnished the title compound.

参考文献No.550664
标题:Sch 59884, a water-soluble prodrug of Sch 56592 for intravenous formulations
作者:Girijavallabhan, V.M.; et al.
来源:39th Intersci Conf Antimicrob Agents Chemother (Sept 26 1999, San Francisco) 1999,Abst F1932
合成路线图解说明:

Esterification of alcohol (XXXII) with either 4-bromobutyric acid and DCC or 4-bromobutyryl chloride gave rise to bromoester (XL). Then displacement of the bromine atom of (XL) with silver dibenzylphosphate yielded phosphate ester (XLI). The title compound was then obtained by hydrogenolysis of the benzyl ester groups of (XLI) over Pd/C.

参考文献No.659657
标题:Synthesis of injectable antifungal Sch 59884
作者:Lee, G.M.; et al.
来源:Org Process Res Dev 2001,5(6),622
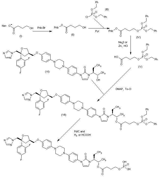
合成路线图解说明:

The esterification of sodium 4-hydroxybutyrate (I) with 4-nitrobenzyl chloride (II) gives the corresponding ester (III), which is condensed with dibenzyl chlorophosphate (III) in pyridine, yielding the expected phosphoric ester (IV). The cleavage of the 4-nitrobenzyl ester of (IV) with Na2S or Zn/HCl affords the butyric acid derivative (V), which is condensed with SCH-56592 (VI) by means of DMAP and Ts-Cl to provide the corresponding ester (VII). Finally, the benzyl groups of the phosphate moiety of (VII) are cleaved by hydrogenation with H2 or HCOOH over Pd/C in THF, giving rise to the target SCH-59884.

参考文献No.659658
标题:Synthesis of injectable antifungal Sch 59884. (Erratum)
作者:Lee, G.M.; et al.
来源:Org Process Res Dev 2002,6(1),86
合成路线图解说明:

The esterification of sodium 4-hydroxybutyrate (I) with 4-nitrobenzyl chloride (II) gives the corresponding ester (III), which is condensed with dibenzyl chlorophosphate (III) in pyridine, yielding the expected phosphoric ester (IV). The cleavage of the 4-nitrobenzyl ester of (IV) with Na2S or Zn/HCl affords the butyric acid derivative (V), which is condensed with SCH-56592 (VI) by means of DMAP and Ts-Cl to provide the corresponding ester (VII). Finally, the benzyl groups of the phosphate moiety of (VII) are cleaved by hydrogenation with H2 or HCOOH over Pd/C in THF, giving rise to the target SCH-59884.

Drug Information Express,Drug R&D,Chemical Database,Patent Search.
Copyright © 2006-2026 Drug Future. All rights reserved.Contact Us