【药物名称】
化学结构式(Chemical Structure):
参考文献No.550130
标题:Novel 2-phenylimidazo[1,2-a]pyridine derivatives as potent and selective ligands for peripheral benzodiazepine receptors: Synthesis, binding affinity, and in vivo studies
作者:Trapani, G.; Franco, M.; latrofa, A.; Ricciardi, L.; Carotti, A.; Serra, M.; Sanna, E.; Biggio, G.; Liso, G.
来源:J Med Chem 1999,42(19),3934
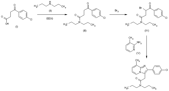
合成路线图解说明:

Condensation of carboxylic acid (I) with dipropylamine (II) in the presence of ethyl 1,2-dihydro-2-ethoxy-1-quinolinecarboxylate (EEDQ) yields amide (III), which is then brominated with Br2 in CCl4 to provide derivative (IV). Finally, bromoketoamide (IV) is cyclized with to 3-methyl-2-aminopyridine (V) in DMF to furnish the target product.

Drug Information Express,Drug R&D,Chemical Database,Patent Search.
Copyright © 2006-2026 Drug Future. All rights reserved.Contact Us