【药物名称】
化学结构式(Chemical Structure):
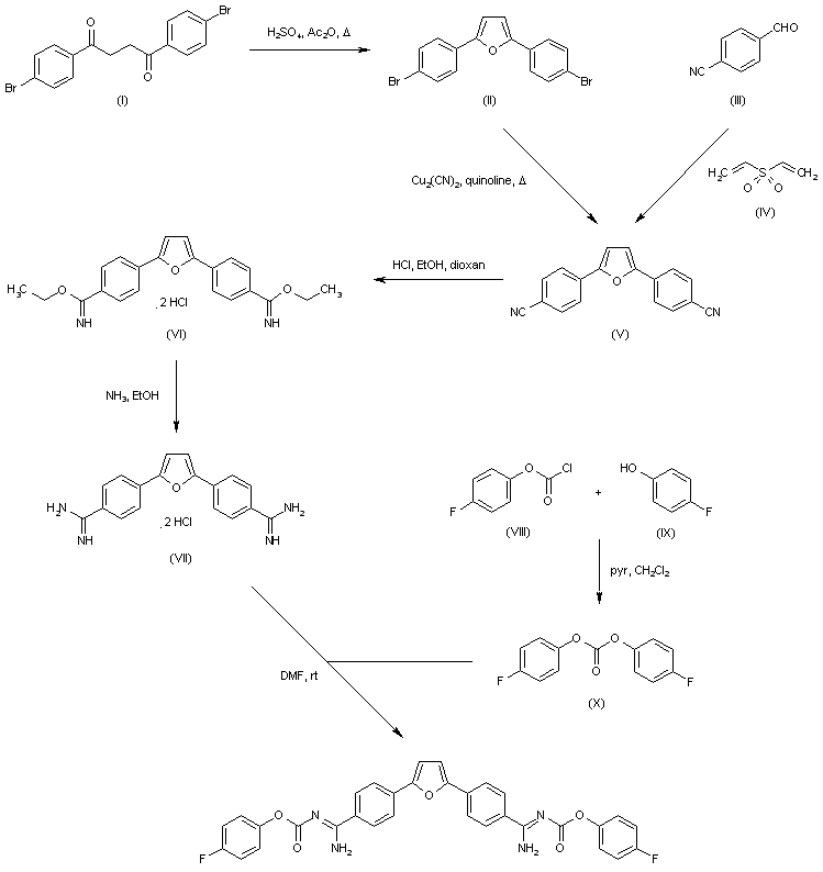
参考文献No.550128
标题:Prodrugs for amidines: Synthesis and anti-Pneumocystis carinii activity of carbamates of 2,5-bis(4-amidinophenyl)furan
作者:Rahmathullah, S.M.; Hall, J.E.; Bender, B.C.; McCurdy, D.R.; Tidwell, R.R.; Boykin, D.W.
来源:J Med Chem 1999,42(19),3994
合成路线图解说明:

2,5-Bis(p-bromophenyl)furan (II) was prepared by cyclodehydration of diketone (I) in refluxing acetic anhydride. Displacement of both bromine atoms by copper(I) cyanide in boiling quinoline generated the dicyano derivative (V). Alternatively, furan (V) was prepared by addition of p-cyanobenzaldehyde (III) to divinyl sulfone (IV) in the presence of a thiazolium catalyst. After conversion of the cyano groups of (V) into bis-imidate (VI), reaccion with ethanolic ammonia furnished amidine (VII). The stable symmetrical carbonate (X) was obtained by reaction of p-fluorophenyl chloroformate (VIII) with p-fluorophenol (IX) in the presence of pyridine. Finally, reaction of the bis(amidine) compound (VII) with carbonate (X) yielded the title compound.

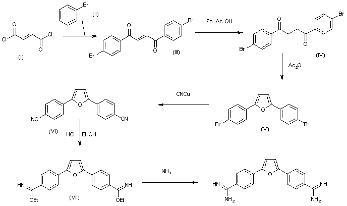
参考文献No.607163
标题:Synthesis and antiprotozoal activity of 2,5-bis (4-guanylphenyl) furans
作者:Das, B.P.; Boykin, D.W.
来源:J Med Chem 1977,20(4),531-536
合成路线图解说明:

The Friedel Crafts condensation of fumaryl chloride (I) with bromobenzene (II) gives 1,2-bis(4-bromobenzoyl)ethylene (III), which is reduced with Zn and Ac-OH to yield 1,4-bis(4-bromophenyl)butane-1,4-dione (IV). The cyclization of (IV) in refluxing Ac2O affords 2,5-bis(4-bromophenyl)furan (V) which is treated with CNCu in refluxing quinoline to provide 2,5-bis(4-cyanophenyl)furan (VI). The reaction of (VI) with HCl in ethanol gives the bis imidate (VII), which is finally treated with ammonia in ethanol to yield the target bis benzamidine.

合成路线图解说明:

2,5-Bis(p-bromophenyl)furan (II) was prepared by cyclodehydration of diketone (I) in refluxing acetic anhydride. Displacement of both bromine atoms by copper(I) cyanide in boiling quinoline generated the dicyano derivative (V). Alternatively, furan (V) was prepared by addition of p-cyanobenzaldehyde (III) to divinyl sulfone (IV) in the presence of a thiazolium catalyst. After conversion of the cyano groups of (V) into bis-imidate (VI), reaccion with ethanolic ammonia furnished amidine (VII). The stable symmetrical carbonate (X) was obtained by reaction of p-fluorophenyl chloroformate (VIII) with p-fluorophenol (IX) in the presence of pyridine. Finally, reaction of the bis(amidine) compound (VII) with carbonate (X) yielded the title compound.

参考文献No.701211
标题:
作者:Kawada, A.; Aragane, Y.; Maeda, A.; Tezuka, T.
来源:Heterocycl Commun 1996,2(2),135-140
合成路线图解说明:

2,5-Bis(p-bromophenyl)furan (II) was prepared by cyclodehydration of diketone (I) in refluxing acetic anhydride. Displacement of both bromine atoms by copper(I) cyanide in boiling quinoline generated the dicyano derivative (V). Alternatively, furan (V) was prepared by addition of p-cyanobenzaldehyde (III) to divinyl sulfone (IV) in the presence of a thiazolium catalyst. After conversion of the cyano groups of (V) into bis-imidate (VI), reaccion with ethanolic ammonia furnished amidine (VII). The stable symmetrical carbonate (X) was obtained by reaction of p-fluorophenyl chloroformate (VIII) with p-fluorophenol (IX) in the presence of pyridine. Finally, reaction of the bis(amidine) compound (VII) with carbonate (X) yielded the title compound.

Drug Information Express,Drug R&D,Chemical Database,Patent Search.
Copyright © 2006-2026 Drug Future. All rights reserved.Contact Us