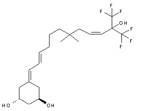
【药物名称】BAL-2299, Ro-65-2299
化学结构式(Chemical Structure):
参考文献No.40406
标题:Cyclohexanediole derivs.
作者:Mohr, P.; Barbier, P.; Pirson, W.; Muller, M.; Bauer, F. (F. Hoffmann-La Roche AG)
来源:EP 1056716; WO 9943646
合成路线图解说明:

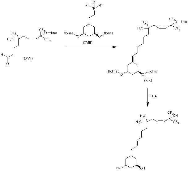
The reduction of 4,4-dimethyltetrahydropyran-2-one (I) with iBuAlH in THF gives 4,4-dimethyltetrahydropyran-2-ol (II), which is condensed with phosphorane (III) in refluxing acetonitrile to yield the heptenoic ester (IV). The protection of the OH group of (IV) with Tbdms-Cl and imidazole affords the silyl ether (V), which is reduced at the double bond with H2 over Pd/C in ethyl acetate to provide the heptanoate ester (VI). The reduction of the ester group of (VI) with iBu2AlH in THF gives the primary alcohol (VII), which is protected with dihydropyran and PPTS, yielding the tetrahydropyranyl ether (VIII). The desilylation of (VIII) with TBAF in THF affords the heptanol derivative (IX), which by oxidation with tetrapropylammonium perruthenate (TPAP) in dichloromethane is converted into the aldehyde (X). The condensation of (X) with CBr4 and PPh3 in dichloromethane provides the dibromovinyl compound (XI), which is condensed with hexafluoroacetone (XII) by means of BuLi in THF to give the acetylenic alcohol (XIII). The deprotection of (XIII) with pyridinium p-toluenesulfonate (PPTS) in methanol yields the acetylenic diol (XIV), which is selectively reduced with H2 over Pd/C in ethyl acetate to afford the (Z)-ethylenic diol (XV). The oxidation of the primary alcohol of (XV) with pyridinium dichromate in dichloromethane provides the aldehyde (XVI), which is silylated with Tms-Cl, TEA and DMAP in dichloromethane to give the silylated unsaturated aldehyde (XVII).

合成路线图解说明:

The condensation of aldehyde (XVII) with the chiral phosphinoxide (XVIII) by means of BuLi in THF gives the silylated precursor (XIX), which is finally treated with TBAF in THF.

合成路线图解说明:

Alternatively, the intermediate (Z)-ethylenic diol (XV) can also be obtained as follows: The reduction of 5,5-dimethyloxepan-2-one (XX) with iBu2AlH in THF gives 5,5-dimethyloxepan-2-ol (XXI), which is condensed with methyltriphenylphosphonium bromide (XXII) by means of tBu-OK in THF to yield 3,3-dimethyl-6-hepten-1-ol (XXIII). The Swern oxidation of the primary alcohol of (XIII) affords aldehyde (XXIV), which is condensed with CBr4 by means of PPh3 in CH2Cl2 to provide the dibromovinyl compound (XXV). The condensation of (XXV) with hexafluoroacetone (XII) by means of BuLi gives the acetylenic alcohol (XXVI), which is treated with hexylborane in THF to yield the acetylenic diol (XXVII). Finally, this compound is selectively reduced with H2 over Pd/C in EtOAc to afford the desired (Z)-ethylenic diol (XV).

参考文献No.51120
标题:New process for the preparation of retiferol derivs.
作者:Hilpert, H.; Wirz, B. (F. Hoffmann-La Roche AG)
来源:EP 1094060
合成路线图解说明:

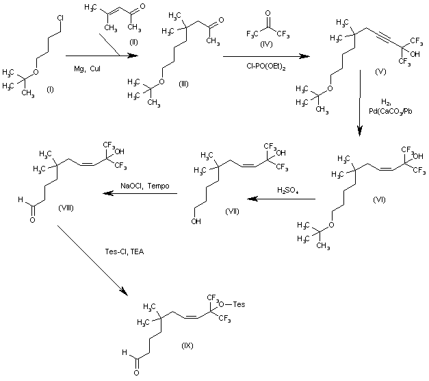
Synthesis of aldehyde intermediate (IX): The condensation of 1-tert-butoxy-4-chlorobutane (I) with 4-methyl-3-penten-2-one (II) by means of Mg in hot THF gives the 2-octanone (III), which is condensed with hexafluoroacetone (IV) by means of diethyl chlorophosphate and LDA in THF to yield the fluorinated alkynol (V). Hydrogenation of the triple bond of (V) with H2 and Lindlar catalyst affords the cis-alkene (VI), which is deprotected with sulfuric acid to provide the fluorinated diol (VII). Finally, the primary alcohol of (VII) is oxidized to the corresponding aldehyde (VIII) with NaOCl and tempo, which is silylated with Tes-Cl and TEA to afford the desired intermediate (IX).

合成路线图解说明:

The hydrogenation of 1,3,5-trihydroxybenzene (X) with H2 over Raney-Ni gives a mixture of the cis-triol (XI) and the trans-triol (XII), which is submitted to a thermal isomerization to obtain a trans-enriched mixture. The acetylation of (XI) + (XII) with acetic anhydride and pyridine affords the mixture of triacetates (XIII) + (XIV), which is submitted to a selective deacetylation by means of Lipase OF (isolated from Candida rugosa) to provide the enantiomerically pure diacetate (XV). The oxidation of (XV) with NaOCl and tempo in dichloromethane/water gives the chiral ketone (XVI), which is condensed with ethyl 2-(trimethylsilyl)acetate (XVII) by means of LDA in THF to yield the cyclohexylideneacetate (XVIII). The deacetylation of (XVIII) by means of K2CO3 in methanol/water affords the chiral dihydroxy compound (XIX), which is protected with Tbdms-Cl and imidazole to provide the bis-silyl ether (XX). The reduction of the ester group of (XX) with Red-Al in toluene furnishes the allyl alcohol (XXI), which is treated with TsCl and n-BuLi to obtain the tosylate (XXII). The reaction of (XXII) with diphenylphosphine and BuLi in THF gives the phosphinoxide (XXIII), which is condensed with the intermediate aldehyde (IX) by means of BuLi in THF to yield the silylated precursor (XXIV). Finally, this compound is desilylated by means of TBAF in THF.

参考文献No.608200
标题:Novel versatile approach to an enantiopure 19-nor, des-C,D vitamin D-3 derivative
作者:Wirz, B.; Hilpert, H.
来源:Tetrahedron 2001,57(4),681
合成路线图解说明:

Synthesis of aldehyde intermediate (IX): The condensation of 1-tert-butoxy-4-chlorobutane (I) with 4-methyl-3-penten-2-one (II) by means of Mg in hot THF gives the 2-octanone (III), which is condensed with hexafluoroacetone (IV) by means of diethyl chlorophosphate and LDA in THF to yield the fluorinated alkynol (V). Hydrogenation of the triple bond of (V) with H2 and Lindlar catalyst affords the cis-alkene (VI), which is deprotected with sulfuric acid to provide the fluorinated diol (VII). Finally, the primary alcohol of (VII) is oxidized to the corresponding aldehyde (VIII) with NaOCl and tempo, which is silylated with Tes-Cl and TEA to afford the desired intermediate (IX).

合成路线图解说明:

The hydrogenation of 1,3,5-trihydroxybenzene (X) with H2 over Raney-Ni gives a mixture of the cis-triol (XI) and the trans-triol (XII), which is submitted to a thermal isomerization to obtain a trans-enriched mixture. The acetylation of (XI) + (XII) with acetic anhydride and pyridine affords the mixture of triacetates (XIII) + (XIV), which is submitted to a selective deacetylation by means of Lipase OF (isolated from Candida rugosa) to provide the enantiomerically pure diacetate (XV). The oxidation of (XV) with NaOCl and tempo in dichloromethane/water gives the chiral ketone (XVI), which is condensed with ethyl 2-(trimethylsilyl)acetate (XVII) by means of LDA in THF to yield the cyclohexylideneacetate (XVIII). The deacetylation of (XVIII) by means of K2CO3 in methanol/water affords the chiral dihydroxy compound (XIX), which is protected with Tbdms-Cl and imidazole to provide the bis-silyl ether (XX). The reduction of the ester group of (XX) with Red-Al in toluene furnishes the allyl alcohol (XXI), which is treated with TsCl and n-BuLi to obtain the tosylate (XXII). The reaction of (XXII) with diphenylphosphine and BuLi in THF gives the phosphinoxide (XXIII), which is condensed with the intermediate aldehyde (IX) by means of BuLi in THF to yield the silylated precursor (XXIV). Finally, this compound is desilylated by means of TBAF in THF.

Drug Information Express,Drug R&D,Chemical Database,Patent Search.
Copyright © 2006-2026 Drug Future. All rights reserved.Contact Us