【药物名称】
化学结构式(Chemical Structure):
参考文献No.40412
标题:Heterocyclic substd. aniline calcium channel blockers
作者:Ryder, T.R.; Rafferty, M.F.; Hu, L.-Y. (Pfizer Inc.)
来源:US 6251919; WO 9943658
合成路线图解说明:

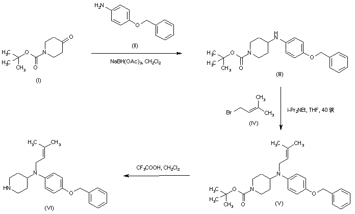
Reductive condensation of N-Boc-4-piperidone (I) with 4-(benzyloxy)aniline (II) in the presence of NaBH(OAc)3 produced the secondary amine (III), which was further alkylated with 4-bromo-2-methyl-2-butene (IV) to afford the tertiary amine (V). Subsequent acid cleavage of the Boc protecting group of (V) furnished the intermediate piperidine (VI).

合成路线图解说明:

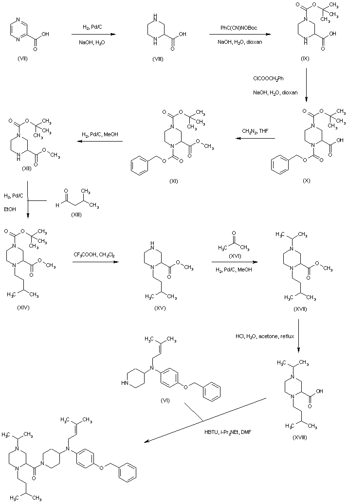
Piperazine-2-carboxylic acid (VIII) was prepared by catalytic hydrogenation of pyrazine (VII). Sequential protection of the N-4 of (VIII) with 2-(t-butoxycarbonyloxyimino)-2-phenylacetonitrile and the N-1 with benzyl chloroformate provided the diprotected piperazinecarboxylic acid (X), which was subsequently esterified with diazomethane to give the methyl ester (XI). The N-benzyloxycarbonyl group of (XI) was selectively deprotected by hydrogenation in the presence of Pd/C to yield the N-Boc-piperazine (XII). Reductive alkylation of (XII) with isovaleraldehyde (XIII) afforded the corresponding N-isoamyl piperazine (XIV). After acid removal of the N-Boc group of (XIV) to yield (XV), a second reductive alkylation with acetone (XVI) produced the dialkyl piperazine (XVII). Hydrolysis of the methyl ester group of (XVII) under acidic conditions gave acid (XVIII). This was finally coupled with the intermediate piperidine (VI) in the presence of HBTU to provide the title compound.

参考文献No.588451
标题:Synthesis and biological activity of 4-aminopiperidine derivatives as N-type calcium channel antagonists
作者:Rafferty, M.F.; Hu, L.-Y.; Ryder, T.R.; et al.
来源:Med Chem Res 2000,10(1),11
合成路线图解说明:

Piperazine-2-carboxylic acid (VIII) was prepared by catalytic hydrogenation of pyrazine (VII). Sequential protection of the N-4 of (VIII) with 2-(t-butoxycarbonyloxyimino)-2-phenylacetonitrile and the N-1 with benzyl chloroformate provided the diprotected piperazinecarboxylic acid (X), which was subsequently esterified with diazomethane to give the methyl ester (XI). The N-benzyloxycarbonyl group of (XI) was selectively deprotected by hydrogenation in the presence of Pd/C to yield the N-Boc-piperazine (XII). Reductive alkylation of (XII) with isovaleraldehyde (XIII) afforded the corresponding N-isoamyl piperazine (XIV). After acid removal of the N-Boc group of (XIV) to yield (XV), a second reductive alkylation with acetone (XVI) produced the dialkyl piperazine (XVII). Hydrolysis of the methyl ester group of (XVII) under acidic conditions gave acid (XVIII). This was finally coupled with the intermediate piperidine (VI) in the presence of HBTU to provide the title compound.

Drug Information Express,Drug R&D,Chemical Database,Patent Search.
Copyright © 2006-2026 Drug Future. All rights reserved.Contact Us