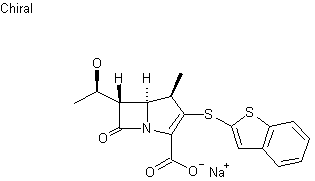
【药物名称】J-110441
化学结构式(Chemical Structure):
参考文献No.343483
标题:Benzothiazolylthio carbapenems: Potent anti-MRSA agents
作者:Szumiloski, S.P.; Ratcliffe, R.W.; Waddell, S.T.; et al.
来源:Bioorg Med Chem Lett 1995,5(13),1427
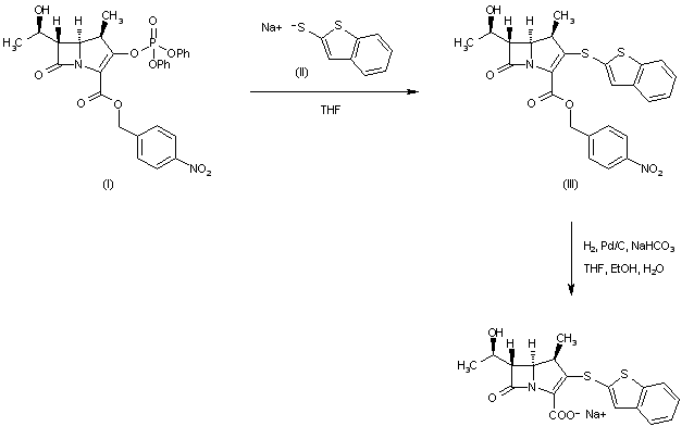
合成路线图解说明:

Carbapenem-2-diphenylphosphate (I) was condensed with the sodium salt of 2-mercaptobenzothiophene (II) to give thioether (III). The p-nitrobenzyl group of (III) was then deprotected by hydrogenation over Pd/C in the presence of NaHCO3 to afford the corresponding carboxylic acid sodium salt.

Drug Information Express,Drug R&D,Chemical Database,Patent Search.
Copyright © 2006-2026 Drug Future. All rights reserved.Contact Us