【药物名称】MC-02,867
化学结构式(Chemical Structure):
参考文献No.550520
标题:Design, synthesis, and SAR of water-soluble dibasic cephalosporins active against resistant Gram-positive bacteria
作者:Lee, V.J.; Price, M.; Zhang, Z.J.; Fan, A.; Glinka, T.; Chamberland, S.; Cho, A.; Ludwikow, M.; Hecker, S.J.; Liu, N.
来源:39th Intersci Conf Antimicrob Agents Chemother (Sept 26 1999, San Francisco) 1999,Abst F392
合成路线图解说明:

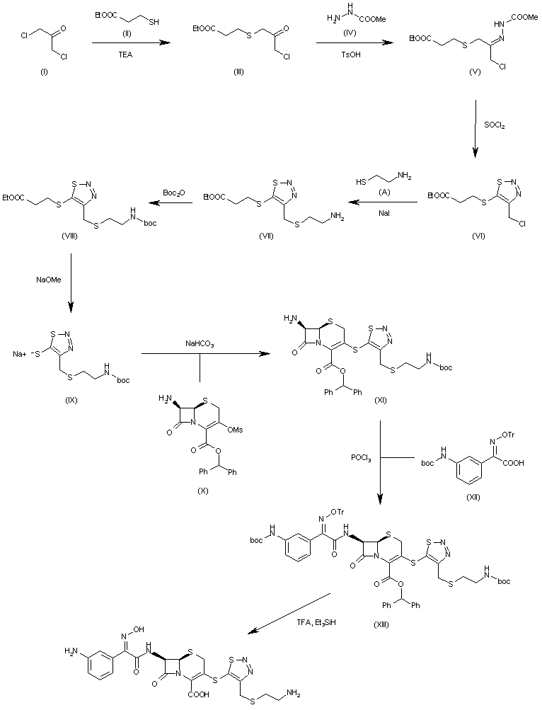
The condensation of 1,3-dichloroacetone (I) with ethyl 3-sulfanylpropionate (II) by means of triethylamine in THF gives ethyl 3-(3-chloro-2-oxopropylsulfanyl)propionate (III), which is condensed with ethyl carbazate (IV) by means of Ts-OH in acetonitrile yielding the corresponding hydrazone (V). The cyclization of (V) with SOCl2 in DMF gives the 1,2,3-thiadiazole (VI), which is condensed with 2-aminoethanethiol (A) by means of NaI in dioxane/water afffording the bis thioether (VII). The protection of the amino group of (VII) with Boc2O yields the carbamate (VIII), which is treated with sodium methoxide in methanol to provide sodium thiolate (IX). The condensation of (IX) with the cephem derivative (X) in ethyl acetate/aqueous NaHCO3 gives the expected addition product (XI), which is further condensed with 2-(tert-butoxycarbonylamino)-2-(trityloxyimino)acetic acid (XII) by means of POCl3 in THF yielding the fully protected target compound (XIII). Finally, this compound is deprotected by treatment with TFA and triethylsilane.

合成路线图解说明:

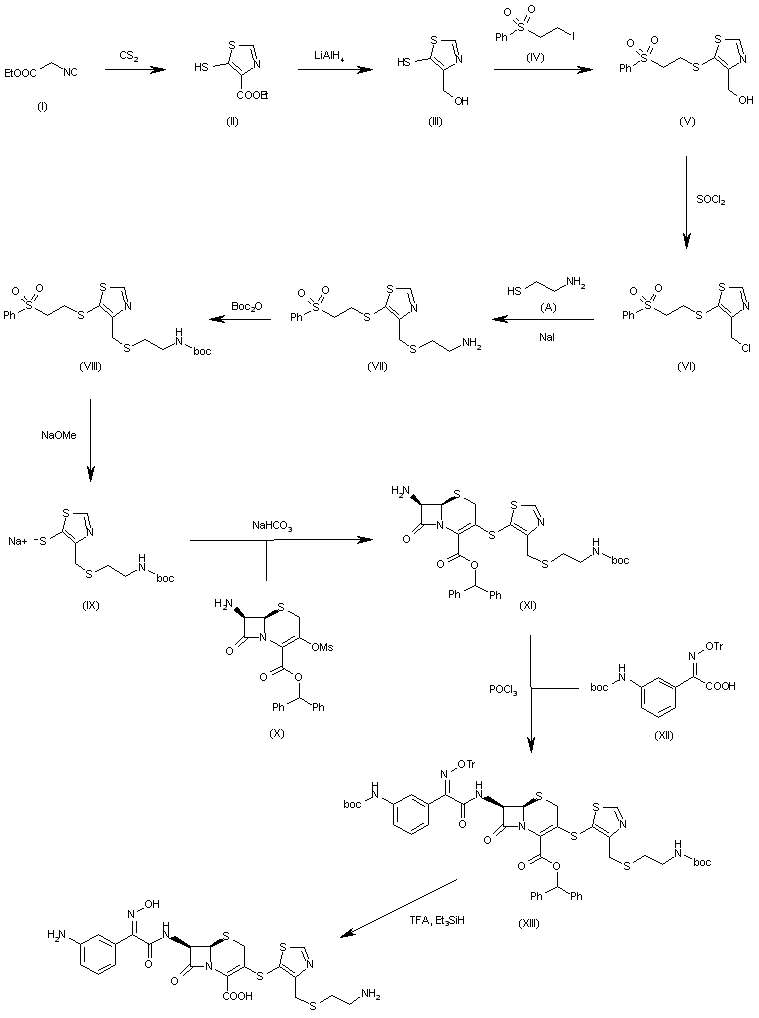
The cyclization of ethyl cyanoacetate (I) with carbon disulfide gives 5-sulfanylthiazole-4-carboxylic acid ethyl ester (II), which is reduced with LiAlH4 in THF to the corresponding carbinol (III). The condensation of (III) with 2-iodoethyl phenyl sulfone (IV) affords the thioether (V), which is treated with SOCl2 in DMF to afford the chloromethyl derivative (VI). The condensation of (VI) with 2-aminoethanethiol (A) by means of NaI in dioxane/water gives the bis thioether (VII), which is protected at the amino group with Boc2 to afford the carbamate (VIII), and treated with NaOMe in methanol to provide the sodium thiolate (IX). The condensation of (IX) with the cephem derivative (X) in ethyl acetate/aqueous NaHCO3 gives the expected addition product (XI), which is further condensed with 2-(tert-butoxycarbonylamino)-2-(trityloxyimino)acetic acid (XII) by means of POCl3 in THF yielding the fully protected target compound (XIII). Finally, this compound is deprotected by treatment with TFA and triethylsilane.

参考文献No.606963
标题:New anti-MRSA cephalosporins with a basic aminopyridine at the C-7 position
作者:Cho, A.; Glinka, T.W.; Ludwikow, M.; Fan, A.T.; Wang, M.; Hecker, S.J.
来源:Bioorg Med Chem Lett 2001,11(2),137
合成路线图解说明:

The condensation of 1,3-dichloroacetone (I) with ethyl 3-sulfanylpropionate (II) by means of triethylamine in THF gives ethyl 3-(3-chloro-2-oxopropylsulfanyl)propionate (III), which is condensed with ethyl carbazate (IV) by means of Ts-OH in acetonitrile yielding the corresponding hydrazone (V). The cyclization of (V) with SOCl2 in DMF gives the 1,2,3-thiadiazole (VI), which is condensed with 2-aminoethanethiol (A) by means of NaI in dioxane/water afffording the bis thioether (VII). The protection of the amino group of (VII) with Boc2O yields the carbamate (VIII), which is treated with sodium methoxide in methanol to provide sodium thiolate (IX). The condensation of (IX) with the cephem derivative (X) in ethyl acetate/aqueous NaHCO3 gives the expected addition product (XI), which is further condensed with 2-(tert-butoxycarbonylamino)-2-(trityloxyimino)acetic acid (XII) by means of POCl3 in THF yielding the fully protected target compound (XIII). Finally, this compound is deprotected by treatment with TFA and triethylsilane.

Drug Information Express,Drug R&D,Chemical Database,Patent Search.
Copyright © 2006-2026 Drug Future. All rights reserved.Contact Us