【药物名称】
化学结构式(Chemical Structure):
参考文献No.37175
标题:4-Aminoalkoxy-1H-benzimidazole derivs., their preparation and their use as dopamine autoreceptor (D2) agonists
作者:Nelson, J.A.; Mewshaw, R.E. (American Home Products Corp.)
来源:EP 0973749; WO 9835945
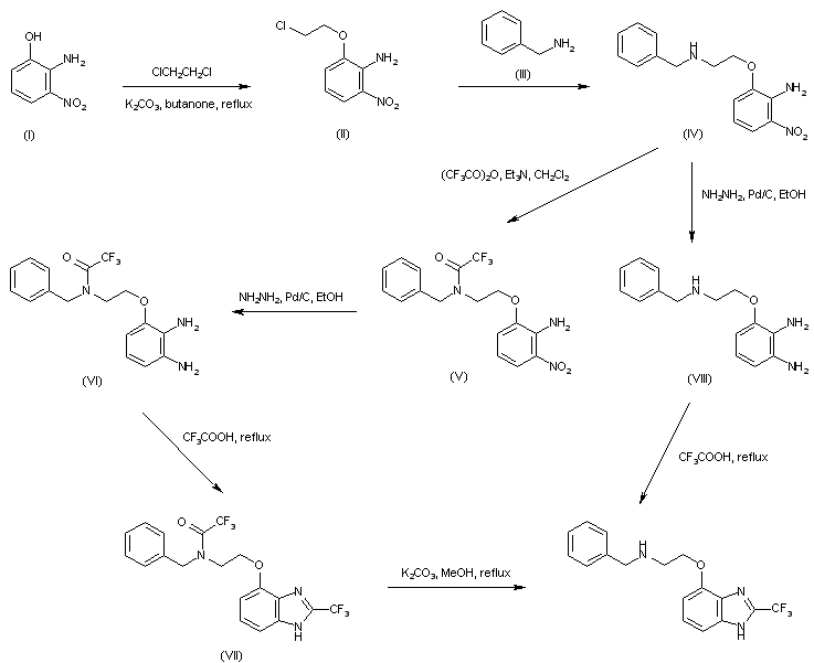
合成路线图解说明:

Alkylation of 2-amino-3-nitrophenol (I) with 1,2-dichloroethane in 2-butanone afforded the chloroethyl ether (II), which was further condensed with benzylamine (III) to give amine (IV) (1,2). Acylation of (IV) with trifluoroacetic anhydride provided trifluoroacetamide (V). The nitro group of (V) was then reduced by transfer hydrogenation using hydrazine and Pd/C. Cyclization of the resulting phenylenediamine (VI) in refluxing TFA gave rise to benzimidazole (VII). The trifluoroacetamido group of (VII) was finally removed by treatment with K2CO3 in boiling MeOH (1). In a more direct procedure, nitroaniline (IV) was reduced to diamine (VIII) and then cyclized to the title benzimidazole by treatment with TFA.

参考文献No.552685
标题:New generation dopaminergic agents 7. heterocyclic bioisosteres that exploit the 3-OH-phenoxyethylamine D2 template
作者:Mewshaw, R.E.; Nelson, J.A.; Shah, U.S.; Shi, X.; Mazandarani, H.; Coupet, J.; Marquis, K.; Brennan, J.A.; Andree, T.H.
来源:Bioorg Med Chem Lett 1999,9(17),2593
合成路线图解说明:

Alkylation of 2-amino-3-nitrophenol (I) with 1,2-dichloroethane in 2-butanone afforded the chloroethyl ether (II), which was further condensed with benzylamine (III) to give amine (IV) (1,2). Acylation of (IV) with trifluoroacetic anhydride provided trifluoroacetamide (V). The nitro group of (V) was then reduced by transfer hydrogenation using hydrazine and Pd/C. Cyclization of the resulting phenylenediamine (VI) in refluxing TFA gave rise to benzimidazole (VII). The trifluoroacetamido group of (VII) was finally removed by treatment with K2CO3 in boiling MeOH (1). In a more direct procedure, nitroaniline (IV) was reduced to diamine (VIII) and then cyclized to the title benzimidazole by treatment with TFA.

Drug Information Express,Drug R&D,Chemical Database,Patent Search.
Copyright © 2006-2026 Drug Future. All rights reserved.Contact Us