【药物名称】
化学结构式(Chemical Structure):
参考文献No.552683
标题:Novel benzo-fused lactam scaffolds as factor Xa inhibitors
作者:Tamura, S.Y.; Goldman, E.A.; Bergum, P.W.; Semple, J.E.
来源:Bioorg Med Chem Lett 1999,9(17),2573
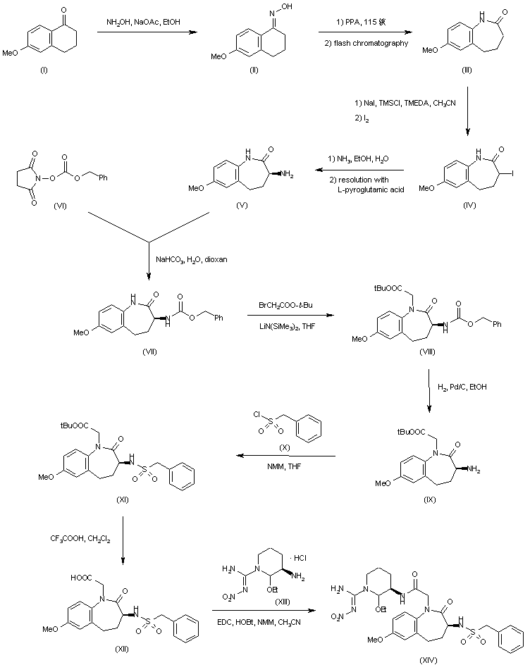
合成路线图解说明:

6-Methoxy-alpha-tetralone (I) was converted to the corresponding oxime (II) by treatment with hydroxylamine in the presence of sodium acetate. Subsequent Beckmann rearrangement of (II) employing polyphosphoric acid produced a mixture of two regioisomeric lactams from which the required 1-benzazepine (III) was isolated by flash chromatography. Iodination of (III) to give (IV) was carried out following a previously described metodolgy. Displacement of the iodolactam (IV) with ammonia in aqueous ethanol furnished the racemic primary amine, which was resolved by means of L-pyroglutamic acid. The desired (S)-amine (V) was protected as the benzyl carbamate (VII) by treatment with N-(benzyloxycarbonyloxy)succinimide (VI). Then, selective alkylation of the lactam ring nitrogen of (VII) with tert-butyl bromoacetate in the presence of lithium hexamethyldisilazide provided ester (VIII). After hydrogenolysis of the carbobenzoy moiety of (VIII), the resulting amino lactam (IX) was condensed with benzylsulfonyl chloride (X) to give sulfonamide (XI). Deprotection of the tert-butyl ester of (XI) with trifluoroacetic acid afforded carboxylic acid (XII), which was coupled with nitroargininal ethyl aminal (XIII), yielding amide (XIV).

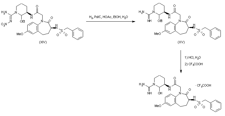
合成路线图解说明:

Hydrogenolysis of the nitro group from the guanidine (XIV) provided (XV). Then, mild acid hydrolysis of the ethyl acetal of (XV) furnished the title compound, which was finally isolated as the corresponding trifluoroacetate salt.

Drug Information Express,Drug R&D,Chemical Database,Patent Search.
Copyright © 2006-2026 Drug Future. All rights reserved.Contact Us