【药物名称】(+)-Hemipalmitoylcarnitinium, Z-15
化学结构式(Chemical Structure):
参考文献No.552681
标题:Acylcarnitine analogues as topical, microbicidal spermicides
作者:Savle, P.S.; Doncel, G.F.; Bryant, S.D.; Hubieki, M.P.; Robinette, R.G.; Gandourk, R.D.
来源:Bioorg Med Chem Lett 1999,9(17),2545
合成路线图解说明:

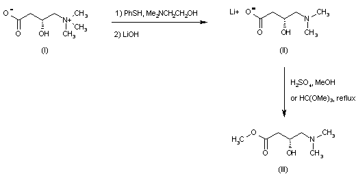
Intermediate hydroxyester (III) has been obtained as follows: Demethylation of (R)-carnitine (I) by thiophenol in dimethylaminoethanol, followed by precipitation with LiOH, gave lithium carboxylate (II), which was esterified to (III) by treatment either with H2SO4 in MeOH or with trimethyl orthoformate in refluxing methanol.

合成路线图解说明:

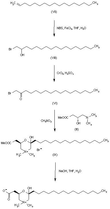
In a different procedure, treatment of olefin (VII) with N-bromosuccinimide produced bromohydrin (VIII), which was further oxidized to bromoketone (VI) by means of Jones reagent. Condensation of bromoketone (VI) with aminoalcohol (III) in nitromethane furnished the morpholine derivative (IX). The ester group was finally hydrolyzed with to yield the title compound.

参考文献No.584827
标题:(+)-Hemipalmitoylcarnitinium strongly inhibits carnitine palmitoyltransfease-I in intact mitochondria
作者:Gandour, R.D.; Leung, O.T.; Greway, A.T.; Ramsay, R.R.; Nic a'Bhaird, N.; Fronczek, F.R.; Bellard, B.M.; Kumaravel, G.
来源:J Med Chem 1993,36(2),237
合成路线图解说明:

The condensation of palmitoyl chloride (IV) with diazomethane produced diazoketone (V). This was then treated with HBr to yield bromoketone (VI).

合成路线图解说明:

In a different procedure, treatment of olefin (VII) with N-bromosuccinimide produced bromohydrin (VIII), which was further oxidized to bromoketone (VI) by means of Jones reagent. Condensation of bromoketone (VI) with aminoalcohol (III) in nitromethane furnished the morpholine derivative (IX). The ester group was finally hydrolyzed with to yield the title compound.

Drug Information Express,Drug R&D,Chemical Database,Patent Search.
Copyright © 2006-2026 Drug Future. All rights reserved.Contact Us