【药物名称】Deferasirox, ICL-670A, CGP-72670, ICL-670
化学结构式(Chemical Structure):
参考文献No.35338
标题:Substd. 3,5-diphenyl-1,2,4-triazoles and their use as pharmaceutical metal chelators
作者:Lattmann, R.; Acklin, P. (Novartis AG)
来源:EP 0914118; JP 2000507601; WO 9749395
合成路线图解说明:

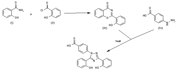
Cyclization of salicylamide (I) with salicyloyl chloride (II) by heating at 170 oC provides 2-(2-hydroxyphenyl)-benz[e][1,3]oxazin-4-one (III), which is finally cyclized with 4-hydrazinobenzoic acid (IV) in refluxing ethanol.

参考文献No.791758
标题:Deferasirox
作者:McIntyre, J.A.; Casta馿r, J.; Mealy, N.E.; Bay閟, M.
来源:Drugs Fut 2004,29(4),331
合成路线图解说明:

Cyclization of salicylamide (I) with salicyloyl chloride (II) by heating at 170 oC provides 2-(2-hydroxyphenyl)-benz[e][1,3]oxazin-4-one (III), which is finally cyclized with 4-hydrazinobenzoic acid (IV) in refluxing ethanol.

Drug Information Express,Drug R&D,Chemical Database,Patent Search.
Copyright © 2006-2026 Drug Future. All rights reserved.Contact Us