【药物名称】KCO-912
化学结构式(Chemical Structure):
参考文献No.31849
标题:Benzopyrans and pharmaceutical compsns. containing them
作者:Manley, P.W. (Novartis AG; Novartis Deutschland GmbH)
来源:EP 0828733; JP 1999505820; US 5905156; WO 9637490
合成路线图解说明:

Lithiation of 6-bromo-2,2-dimethyl-2H-1-benzopyran (I), followed by treatment with sulfur dioxide, gave the sulfinic acid (II), which was subsequently chlorinated to sulfonyl chloride (III) employing SO2Cl2. Condensation of sulfonyl chloride (III) with aniline furnished the target N-phenyl sulfonamide (IV).

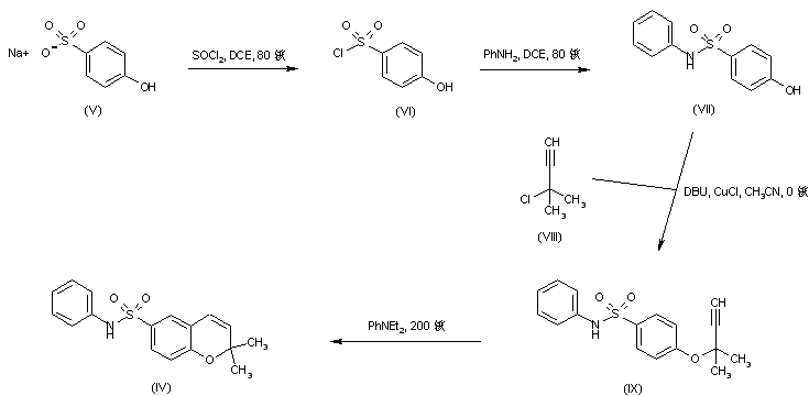
合成路线图解说明:

In a different method, sodium 4-hydroxybenzenesulfonate (V) was converted to the sulfonyl chloride (VI) upon treatment with thionyl chloride in hot 1,2-dichloroethane. Reaction of acid chloride (VI) with aniline provided sulfonamide (VII). Alkylation of the phenolic hydroxyl group of (VII) with 3-chloro-3-methyl-1-butyne (VIII) in the presence of DBU and CuCl gave the propargyl ether (IX), which was then cyclized to benzopyran (IV) under Claisen rearrangement conditions.

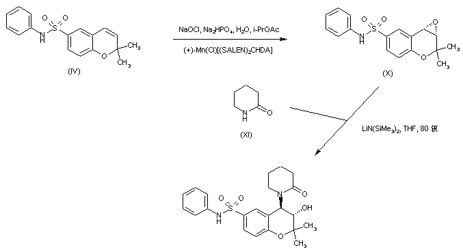
合成路线图解说明:

Asymmetric epoxidation of benzopyran (IV) using NaOCl in the presence of the chiral catalyst (S,S)-(+)-N,N'-bis(3,5-di-t-butylsalicylidene)-1,2-cyclohexanediaminomanganese (III) chloride produced the desired (S,S)-epoxide (X). The title compound was then obtained by oxirane ring opening in (X) with the lithium derivative of 2-piperidinone (XI) in hot THF.

Drug Information Express,Drug R&D,Chemical Database,Patent Search.
Copyright © 2006-2026 Drug Future. All rights reserved.Contact Us