【药物名称】FR-900098
化学结构式(Chemical Structure):
参考文献No.41763
标题:Hydroxyaminohydrocarbonphosphonic acids
作者:Takeno, H.; Hemmi, K.; Hashimoto, M.; Kamiya, T. (Fujisawa Pharmaceutical Co., Ltd.)
来源:DE 2733658; US 4182758; US 4206156
合成路线图解说明:

The title compound was originally isolated from the fermentation broths of Streptomyces rubellomurinus. The chemical synthesis of this compound was further described. Treatment of O-benzyl hydroxylamine (I) with TsCl in pyridine afforded N-(benzyloxy)-p-toluenesulfonamide (II). A closely related procedure used O-(p-methoxy-benzyl)hydroxylamine. Diethyl (3-bromopropyl)phosphonate (V) was obtained by alkylation of the sodium salt of diethyl phosphonate (III) with 1,3-dibromopropane (IV). Related procedures used dibutyl phosphonate or 1-bromo-3-chloropropane instead of (III) or (IV). The condensation of protected hydroxylamine (II) with bromide (V) in the presence of NaH furnished adduct (VI). Alternatively, intermediate (VI) was prepared by first alkylation of N-(benzyloxy)-p-toluenesulfonamide (II) with 1,3-dibromopropane (IV) to give (VII), and then condensation of bromide (VII) with the sodium salt of diethyl phosphonate (III). Hydrolysis of (VI) with HCl in HOAc gave rise to 3-(N-hydroxyamino)propylphosphonic acid (VIII). This was finally acetylated with Ac2O in NaOH.

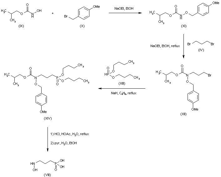
合成路线图解说明:

Isobutyl N-hydroxycarbamate (IX) was O-alkylated with 4-methoxybenzyl bromide (X) using NaOEt to give (XI). Subsequent N-alkylation with 1,3-dibromopropane (IV) produced bromide (XII), which was condensed with the sodium salt of dibutyl phosphonate (XIII) to furnish adduct (XIV). Acid hydrolysis of (XIV) then gave intermediate (VIII).

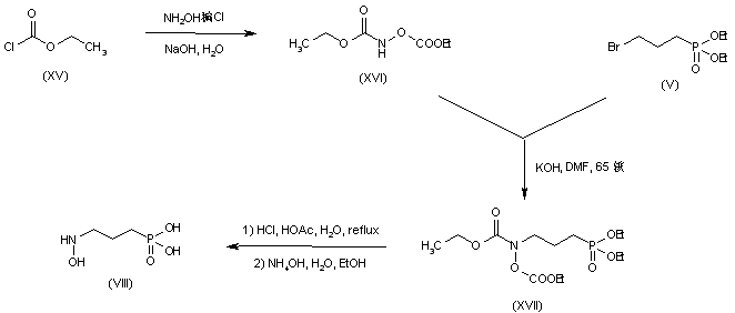
合成路线图解说明:

The condensation of hydroxylamine with two equivalents of ethyl chloroformate (XV) afforded (XVI). The potassium salt of (XVI) was then alkylated with bromopropyl phosphonate (V) to yield (XVII), which was subsequently hydrolyzed to the intermediate (VIII) using HCl in HOAc.

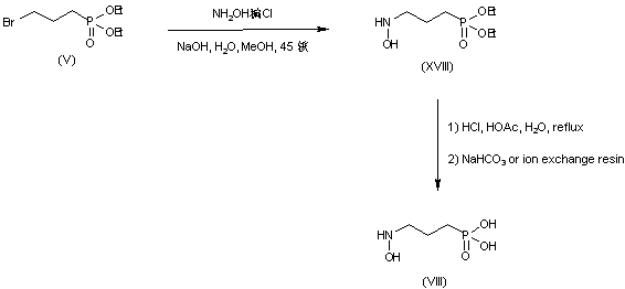
合成路线图解说明:

The condensation of bromopropyl phosphonate (V) with hydroxylamine gave (XVIII). This was then subjected to acid hydrolysis to produce (VIII).

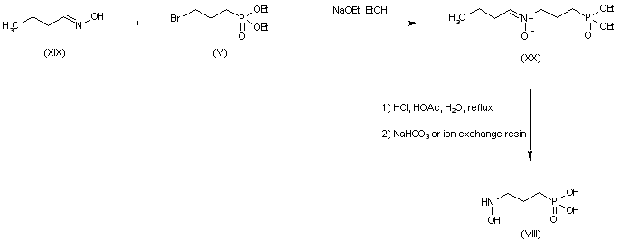
合成路线图解说明:

Butyraldehyde oxime (XIX) was alkylated with bromopropyl phosphonate (V) to give the imine N-oxide (XX), which was then hydrolyzed under acidic conditions. A closely related procedure used octanaldehyde oxime instead of (XIX).

参考文献No.552549
标题:Studies on phosphonic acid antibiotics. I. Structure and synthesis 3-(N-acetyl-N-hydroxyamino) propylphosphonic acid (FR-900098) and its N-formyl analog (FR-31564)
作者:Takashi, K.; et al.
来源:Tetrahedron Lett 1980,21(1),95
合成路线图解说明:

The title compound was originally isolated from the fermentation broths of Streptomyces rubellomurinus. The chemical synthesis of this compound was further described. Treatment of O-benzyl hydroxylamine (I) with TsCl in pyridine afforded N-(benzyloxy)-p-toluenesulfonamide (II). A closely related procedure used O-(p-methoxy-benzyl)hydroxylamine. Diethyl (3-bromopropyl)phosphonate (V) was obtained by alkylation of the sodium salt of diethyl phosphonate (III) with 1,3-dibromopropane (IV). Related procedures used dibutyl phosphonate or 1-bromo-3-chloropropane instead of (III) or (IV). The condensation of protected hydroxylamine (II) with bromide (V) in the presence of NaH furnished adduct (VI). Alternatively, intermediate (VI) was prepared by first alkylation of N-(benzyloxy)-p-toluenesulfonamide (II) with 1,3-dibromopropane (IV) to give (VII), and then condensation of bromide (VII) with the sodium salt of diethyl phosphonate (III). Hydrolysis of (VI) with HCl in HOAc gave rise to 3-(N-hydroxyamino)propylphosphonic acid (VIII). This was finally acetylated with Ac2O in NaOH.

参考文献No.552554
标题:Studies on new phosphonic acid antibiotics II. Taxonomic studies on producing organisms of the phosphonic acid and related compounds
作者:Iguchi, E.; et al.
来源:J Antibiot 1980,33(1),18
合成路线图解说明:

The title compound was originally isolated from the fermentation broths of Streptomyces rubellomurinus. The chemical synthesis of this compound was further described. Treatment of O-benzyl hydroxylamine (I) with TsCl in pyridine afforded N-(benzyloxy)-p-toluenesulfonamide (II). A closely related procedure used O-(p-methoxy-benzyl)hydroxylamine. Diethyl (3-bromopropyl)phosphonate (V) was obtained by alkylation of the sodium salt of diethyl phosphonate (III) with 1,3-dibromopropane (IV). Related procedures used dibutyl phosphonate or 1-bromo-3-chloropropane instead of (III) or (IV). The condensation of protected hydroxylamine (II) with bromide (V) in the presence of NaH furnished adduct (VI). Alternatively, intermediate (VI) was prepared by first alkylation of N-(benzyloxy)-p-toluenesulfonamide (II) with 1,3-dibromopropane (IV) to give (VII), and then condensation of bromide (VII) with the sodium salt of diethyl phosphonate (III). Hydrolysis of (VI) with HCl in HOAc gave rise to 3-(N-hydroxyamino)propylphosphonic acid (VIII). This was finally acetylated with Ac2O in NaOH.

Drug Information Express,Drug R&D,Chemical Database,Patent Search.
Copyright © 2006-2026 Drug Future. All rights reserved.Contact Us