【药物名称】FR-145715
化学结构式(Chemical Structure):
参考文献No.20992
标题:Guanidino thiazoles and their use as H2-receptor antagonist
作者:Katsura, Y.; Tomishi, T.; Inoue, Y.; Takasugi, H. (Fujisawa Pharmaceutical Co., Ltd.)
来源:EP 0545376; JP 1994321921; US 5532258
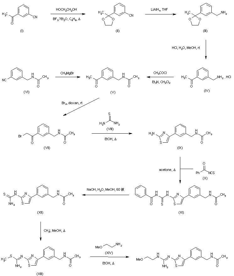
合成路线图解说明:

3-Acetylbenzonitrile (I) was protected as the ethylene ketal (II) employing ethylene glycol and boron trifluoride etherate. Reduction of the cyano group of (II) with LiAlH4 gave amine (III), and further ketal hydrolysis provided 3-acetylbenzylamine (IV). This was acetylated using acetyl chloride and Et3N to yield the intermediate amide (V). Alternatively, intermediate (V) was obtained by addition of methylmagnesium bromide to N-(3-cyanobenzyl)acetamide (VI). Bromination of (V) in dioxan furnished the bromoacetophenone (VII). This was cyclized to the aminothiazole (IX) by treatment with thiourea (VIII) in refluxing ethanol. Condensation of (IX) with benzoyl isothiocyanate (X) provided the benzoyl thiourea (XI). After selective hydrolysis of the benzoyl group of (XI) with NaOH in MeOH-H2O at 60 C, the resulting thiourea (XII) was methylated with iodomethane yielding S-methylisothiourea (XIII). Finally, displacement of the methylthio group with 2-methoxyetylamine (XIV) furnished the title guanidinothiazole.

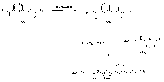
合成路线图解说明:

An alternative procedure consisted in the bromination of acetophenone (V), followed by formation of the target thiazole by condensation of the resulting bromoacetophenone (VII) with [(2-methoxyethylamino)(amino)methylene]thiourea (XV).

参考文献No.588141
标题:Anti-Helicobacter pylori agents.4. 2-(Substituted guanidino)-4-phenylthiazoles and some structurally rigid derivatives
作者:Katsura, Y.; Tomishi, T.; Inoue, Y.; Sakane, K.; Matsumoto, Y.; Morinaga, C.; Ishikawa, H.; Takasugi, H.
来源:J Med Chem 2000,43(17),3315
合成路线图解说明:

3-Acetylbenzonitrile (I) was protected as the ethylene ketal (II) employing ethylene glycol and boron trifluoride etherate. Reduction of the cyano group of (II) with LiAlH4 gave amine (III), and further ketal hydrolysis provided 3-acetylbenzylamine (IV). This was acetylated using acetyl chloride and Et3N to yield the intermediate amide (V). Alternatively, intermediate (V) was obtained by addition of methylmagnesium bromide to N-(3-cyanobenzyl)acetamide (VI). Bromination of (V) in dioxan furnished the bromoacetophenone (VII). This was cyclized to the aminothiazole (IX) by treatment with thiourea (VIII) in refluxing ethanol. Condensation of (IX) with benzoyl isothiocyanate (X) provided the benzoyl thiourea (XI). After selective hydrolysis of the benzoyl group of (XI) with NaOH in MeOH-H2O at 60 C, the resulting thiourea (XII) was methylated with iodomethane yielding S-methylisothiourea (XIII). Finally, displacement of the methylthio group with 2-methoxyetylamine (XIV) furnished the title guanidinothiazole.

合成路线图解说明:

An alternative procedure consisted in the bromination of acetophenone (V), followed by formation of the target thiazole by condensation of the resulting bromoacetophenone (VII) with [(2-methoxyethylamino)(amino)methylene]thiourea (XV).

Drug Information Express,Drug R&D,Chemical Database,Patent Search.
Copyright © 2006-2026 Drug Future. All rights reserved.Contact Us