【药物名称】Ro-25-4020
化学结构式(Chemical Structure):
参考文献No.46886
标题:Vitamin D3 analogs
作者:Batcho, A.D.; Hennessy, B.M.; Uskokovic, M.R. (F. Hoffmann-La Roche AG)
来源:WO 0104089
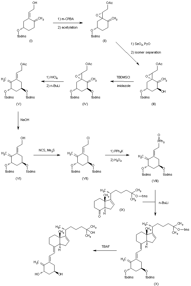
合成路线图解说明:

Oxidation of hydroxylated diene (I) with m-CPBA followed by acetylation provides epoxide (II), which is then converted to the corresponding hydroxy derivative (III) by means of SeO2 and PyO in dioxane followed by isomer separation. Treatment of compound (III) with t-butyldimethylsilyl chloride and imidazole in DMF yields the 5,7-bis-protected derivative (IV), which reacts in THF with tungsten hexachloride (WCl6) and BuLi in hexane/THF to furnish compound (V). Hydrolysis of acetate (V) with NaOH in MeOH provides alcohol (VI), which is then converted into the corresponding chloro derivative (VII) by treatment with N-chlorosuccinimide (NCS) and dimethylsulfide (Me2S) in CH2Cl2. Treatment of compound (VII) with potassium diphenylphosphide (PPh2K) in THF and aqueous H2O2 in CH2Cl2 gives diphenylphosphine oxide (VIII), which is condensed in THF with hexahydro indenone derivative (IX) by means of n-BuLi in hexane to afford compound (X). Finally, derivative (X) is deprotected by treatment with tetrabutyl ammonium fluoride in THF to yield the desired product.

参考文献No.623820
标题:Chemical conversion of vitamin D3 to its 1,25-dihydroxy metabolite
作者:Kiegiel, J.; et al.
来源:Tetrahedron Lett 1991,32(43),6057
合成路线图解说明:

Oxidation of hydroxylated diene (I) with m-CPBA followed by acetylation provides epoxide (II), which is then converted to the corresponding hydroxy derivative (III) by means of SeO2 and PyO in dioxane followed by isomer separation. Treatment of compound (III) with t-butyldimethylsilyl chloride and imidazole in DMF yields the 5,7-bis-protected derivative (IV), which reacts in THF with tungsten hexachloride (WCl6) and BuLi in hexane/THF to furnish compound (V). Hydrolysis of acetate (V) with NaOH in MeOH provides alcohol (VI), which is then converted into the corresponding chloro derivative (VII) by treatment with N-chlorosuccinimide (NCS) and dimethylsulfide (Me2S) in CH2Cl2. Treatment of compound (VII) with potassium diphenylphosphide (PPh2K) in THF and aqueous H2O2 in CH2Cl2 gives diphenylphosphine oxide (VIII), which is condensed in THF with hexahydro indenone derivative (IX) by means of n-BuLi in hexane to afford compound (X). Finally, derivative (X) is deprotected by treatment with tetrabutyl ammonium fluoride in THF to yield the desired product.

Drug Information Express,Drug R&D,Chemical Database,Patent Search.
Copyright © 2006-2026 Drug Future. All rights reserved.Contact Us