【药物名称】ODG-PFA-OMe
化学结构式(Chemical Structure):
参考文献No.547758
标题:Intravitreal toxicology and therapeutic efficacy of the carboxymethyl ester of the 1-O-octadecyl-sn-glycerol-3-phosphonoformate (ODG-PFA-O-Me), a novel lipid antiviral prodrug for intraocular drug delivery
作者:Avila, C.P.; Gardner, M.F.; Freeman, W.R.; Keef, K..S.; Bergeron-Lynn, G.; Cheng, L.Y.; Hostetler, K.Y.; Beadle, J.R.; Wiley, C.A.
来源:J Ocular Pharmacol Ther 1999,15(4),363
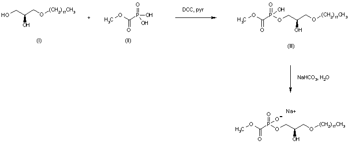
合成路线图解说明:

The title compound was prepared by coupling 1-O-octadecyl-sn-glycerol (I) with methyl phosphonoformate (II) in the presence of DCC in pyridine, followed by conversion to the monosodium salt by means of an aqueous solution of NaHCO3.

Drug Information Express,Drug R&D,Chemical Database,Patent Search.
Copyright © 2006-2026 Drug Future. All rights reserved.Contact Us