【药物名称】PNU-103657
化学结构式(Chemical Structure):
参考文献No.30314
标题:Alkyl substd. piperadinyl and piperazinyl anti-AIDS cpds.
作者:Romero, D.L.; Thomas, R.C.; May, P.D.; Poel, T.-J. (Pharmacia Corp.)
来源:EP 0797576; JP 1998510530; US 5866589; WO 9618628
合成路线图解说明:

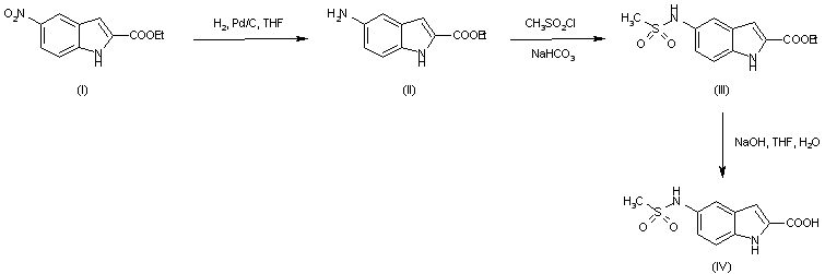
Ethyl 5-nitroindole-2-carboxylate (I) was hydrogenated over Pd/C to give amino indole (II), which was condensed with methanesulfonyl chloride, affording sulfonamide (III). Subsequent hydrolysis of the ester group of (III) furnished the intermediate indolecarboxylic acid (IV).

合成路线图解说明:

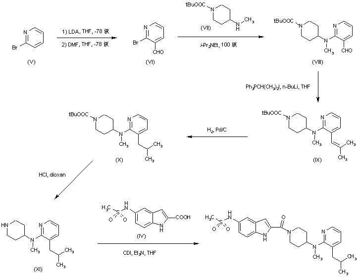
Deprotonation of 2-bromopyridine (V) with LDA and subsequent quenching with dimethylformamide provided 2-bromo-3-formylpyridine (VI). Nucleophilic substitution of the bromine of (VI) with N-Boc-4-(methylamino)piperidine (VII) in diisopropylethylamine at 100 C in a sealed tube yielded aminopyridine derivative (VIII). Then, Wittig olefination of (VIII) with the ylide resulting from isopropyl triphenylphosphonium iodide and n-BuLi introduced the isobutenyl substituent giving (IX), and further catalytic hydrogenation furnished the isobutyl derivative (X). The Boc group of (X) was deprotected by treatment with HCl in dioxan to give piperidine (XI). Finally, coupling of (XI) with indolecarboxylic acid (IV) via activation with carbonyl diimidazole yielded the title carboxamide.

参考文献No.550427
标题:Synthesis and structure-activity relationships of the (alkylamino)piperidine-containing BHAP class of non-nucleoside reverse transcriptase inhibitors: Effect of 3-alkypyridine ring substitution
作者:Genin, M.J.; Poel, T.J.; May, P.D.; Kopta, L.A.; Yagi, Y.; Olmsted, R.A.; Friis, J.M.; Voorman, R.L.; Adams, W.J.; Thomas, R.C.; Romero, D.L.
来源:J Med Chem 1999,42(20),4140
合成路线图解说明:

Deprotonation of 2-bromopyridine (V) with LDA and subsequent quenching with dimethylformamide provided 2-bromo-3-formylpyridine (VI). Nucleophilic substitution of the bromine of (VI) with N-Boc-4-(methylamino)piperidine (VII) in diisopropylethylamine at 100 C in a sealed tube yielded aminopyridine derivative (VIII). Then, Wittig olefination of (VIII) with the ylide resulting from isopropyl triphenylphosphonium iodide and n-BuLi introduced the isobutenyl substituent giving (IX), and further catalytic hydrogenation furnished the isobutyl derivative (X). The Boc group of (X) was deprotected by treatment with HCl in dioxan to give piperidine (XI). Finally, coupling of (XI) with indolecarboxylic acid (IV) via activation with carbonyl diimidazole yielded the title carboxamide.

Drug Information Express,Drug R&D,Chemical Database,Patent Search.
Copyright © 2006-2026 Drug Future. All rights reserved.Contact Us