【药物名称】GW-9578
化学结构式(Chemical Structure):
参考文献No.549769
标题:A ureido thiosobutyric acid (GW9578) is a subtype selective PPARalpha agonist with potent lipid lowering activity
作者:Brown, P.J.; Winegar, D.A.; Plunket, K.D.; Moore, L.B.; Lewis, M.C.; Wilson, J.G.; Sundseth, S.S.; Koble, C.S.; Wu, Z.; Chapman, J.M.; Lehmann, J.M.; Kliewer, S.A.; Willson, T.M.
来源:J Med Chem 1999,42(19),3785
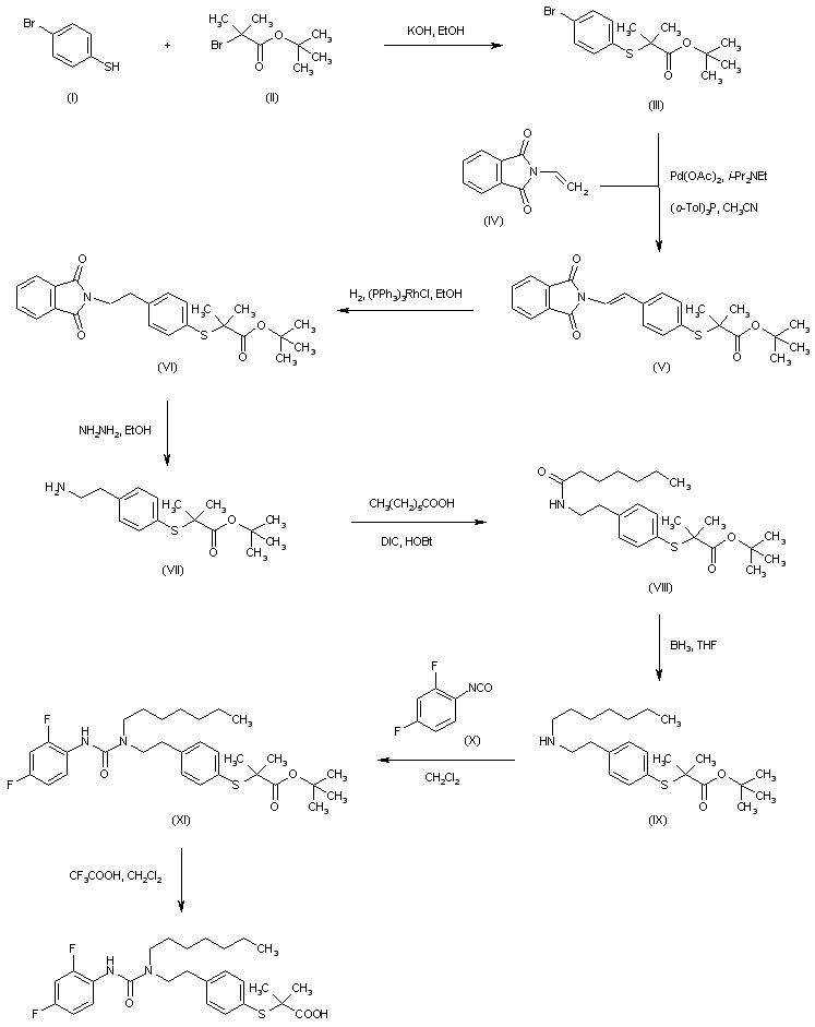
合成路线图解说明:

4-Bromothiophenol (I) was alkylated with tert-butyl bromoisobutyrate (II) to give the bromoester (III). Heck reaction of (III) with vinylphthalimide (IV) produced adduct (V), which was hydrogenated in the presence of Wilkinson's catalyst to yield the arylethyl phthalimide (VI). Following phthalimide deprotection with hydrazine, the resulting primary amine (VII) was coupled with heptanoic acid using diisopropyl carbodiimide and hydroxybenzotriazole affording amide (VIII). Borane reduction of (VIII) furnished the secondary amine (IX), which was condensed with 2,4-difluorophenyl isocyanate (X) to give urea (XI). Finally, trifluoroacetic acid-promoted cleavage of the tert-butyl ester of (IX) provided the title carboxylic acid.

Drug Information Express,Drug R&D,Chemical Database,Patent Search.
Copyright © 2006-2026 Drug Future. All rights reserved.Contact Us