【药物名称】Zomepirac sodium, McN-2783-21-98, Zomax
化学结构式(Chemical Structure):
参考文献No.607783
标题:5-Benzoyl-1-methylpyrrole-2-acetic acids as antiinflammatory agents. 2. The 4-methyl compounds
作者:Carson, J.R.; Wong, S.
来源:J Med Chem 1973,16(2),172-174
合成路线图解说明:

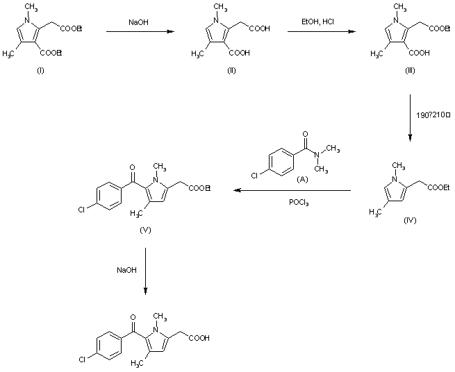
The hydrolysis of ethyl 1,4-dimethyl-3-ethoxycarbonylpyrrole-2-acetate (I) with refluxing aqueous NaOH gives 3-carboxy-1,4-dimethylpyrrole-2-acetic acid (II), which is partially esterified with refluxing ethanol - dry HCl yielding ethyl 3-carboxy-1,4-dimethylpyrrole-2-acetate (III). The decarboxylation of (III) by heating at 190-210 C affords ethyl 1,4-dimethylpyrrole-2-acetate (IV), which by a Vilsmeier aroylation with p-chloro-N,N-dimethylbenzamide (A) and POCl3 in refluxing dichloroethane is converted into ethyl 5-p-chlorobenzoyl-1,4-dimethylpyrrole-2-acetate (V). Finally, this product is hydrolyzed with refluxing aqueous 1N NaOH.

参考文献No.800663
标题:Zomepirac
作者:Hillier, K.; Casta馿r, J.
来源:Drugs Fut 1977,2(10),698
合成路线图解说明:

The hydrolysis of ethyl 1,4-dimethyl-3-ethoxycarbonylpyrrole-2-acetate (I) with refluxing aqueous NaOH gives 3-carboxy-1,4-dimethylpyrrole-2-acetic acid (II), which is partially esterified with refluxing ethanol - dry HCl yielding ethyl 3-carboxy-1,4-dimethylpyrrole-2-acetate (III). The decarboxylation of (III) by heating at 190-210 C affords ethyl 1,4-dimethylpyrrole-2-acetate (IV), which by a Vilsmeier aroylation with p-chloro-N,N-dimethylbenzamide (A) and POCl3 in refluxing dichloroethane is converted into ethyl 5-p-chlorobenzoyl-1,4-dimethylpyrrole-2-acetate (V). Finally, this product is hydrolyzed with refluxing aqueous 1N NaOH.

合成路线图解说明:

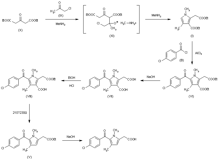
The starting product ethyl 1,4-dimethyl-3-ethoxycarbonylpyrrole-2-acetate (I) can be obtained by condensation of diethyl acetonedicarboxylate (X) with chloroacetone (IX) by means of methylamine in water, the compound (XI) being formed as an intermediate which is not isolated. The Friedel-Crafts aroylation of (I) with p-chlorobenzoyl chloride (B) and AlCl3 in refluxing dichloroethane gives ethyl 5-(p-chlorobenzoyl)-1,4-dimethyl-3-ethoxycarbonylpyrrole-2-acetate (VI), which by hydrolysis with aqueous 1N NaOH yields 5-(p-chlorobenzoyl)-1,4-dimethyl-3-carboxypyrrole-2-acetic acid (VII). The partial esterification of (VII) with ethanol and HCl produces ethyl 5-(p-chlorobenzoyl)-1,4-dimethyl-3-carboxypyrrole-2-acetate (VIII), which by decarboxylation at 210-30 C is converted into the ester (V) already obtained.

参考文献No.800665
标题:Aroyl-substituted pyrroles
作者:Carson, J.R.
来源:DE 2102746; FR 2081455; GB 1327308; JP 55033401; JP 55033402; US 3752826; US 3865840; US 4070368
合成路线图解说明:

The starting product ethyl 1,4-dimethyl-3-ethoxycarbonylpyrrole-2-acetate (I) can be obtained by condensation of diethyl acetonedicarboxylate (X) with chloroacetone (IX) by means of methylamine in water, the compound (XI) being formed as an intermediate which is not isolated. The Friedel-Crafts aroylation of (I) with p-chlorobenzoyl chloride (B) and AlCl3 in refluxing dichloroethane gives ethyl 5-(p-chlorobenzoyl)-1,4-dimethyl-3-ethoxycarbonylpyrrole-2-acetate (VI), which by hydrolysis with aqueous 1N NaOH yields 5-(p-chlorobenzoyl)-1,4-dimethyl-3-carboxypyrrole-2-acetic acid (VII). The partial esterification of (VII) with ethanol and HCl produces ethyl 5-(p-chlorobenzoyl)-1,4-dimethyl-3-carboxypyrrole-2-acetate (VIII), which by decarboxylation at 210-30 C is converted into the ester (V) already obtained.

Drug Information Express,Drug R&D,Chemical Database,Patent Search.
Copyright © 2006-2026 Drug Future. All rights reserved.Contact Us