【药物名称】Adaphostin, NSC-680410
化学结构式(Chemical Structure):
参考文献No.40439
标题:Disubstd. lavendustin A analogs and pharmaceutical compsns. comprising the analogs
作者:Narayanan, V.L.; Sausville, E.A.; Kaur, G.; Varma, R.K. (US Department of Health & Human Services)
来源:EP 1060160; WO 9943636
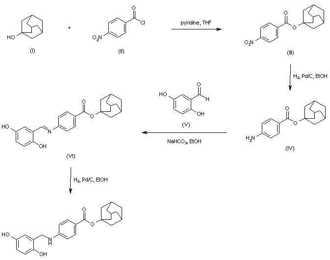
合成路线图解说明:

1-Adamantanol (I) was esterified with 4-nitrobenzoyl chloride (II) in the presence of pyridine, yielding adamantanyl 4-nitrobenzoate (III). After catalytic hydrogenation of the nitro group of (III), the resultant aniline (IV) was condensed with 2,5-dihydroxybenzaldehyde (V) to afford the corresponding Schiff base (VI). Subsequent hydrogenation of the imine double bond of (VI) over Pd/C gave rise to the target amine.

Drug Information Express,Drug R&D,Chemical Database,Patent Search.
Copyright © 2006-2026 Drug Future. All rights reserved.Contact Us