【药物名称】RS-132943
化学结构式(Chemical Structure):
参考文献No.37437
标题:Benzamide deriv., anti-ulcer drug, and antibacterial drug
作者:Kojima, N.; Nishino, C. (Shiseido Co. Ltd.)
来源:EP 0869124; JP 1998279570; US 5891890
合成路线图解说明:

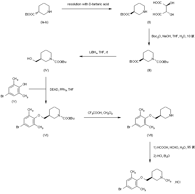
Racemic ethyl 3-piperidinecarboxylate (Ia, Ib) was resolved with D-(-)-tartaric acid in EtOH to afford the (S)-piperidine tartrate salt (II). After protection of (II) as the N-Boc derivative (III) by treatment with di-tert-butyl dicarbonate and NaOH, reduction of the carboxylate group of (III) by means of LiBH4 provided alcohol (IV). Subsequent coupling of (IV) with 4-bromo-2,6-dimethylphenol (V) under Mitsunobu conditions provided ether (VI). The N-Boc protecting group of (VI) was then cleaved employing trifluoroacetic acid to give piperidine (VII). Finally, Eschweiler-Clarke methylation using formaldehyde and formic acid furnished the corresponding N-methyl piperidine, which was isolated after conversion to the hydrochloride salt.

Drug Information Express,Drug R&D,Chemical Database,Patent Search.
Copyright © 2006-2026 Drug Future. All rights reserved.Contact Us