【药物名称】
化学结构式(Chemical Structure):
参考文献No.548642
标题:Carbonic anhydrase inhibitors: Synthesis of water-soluble, aminoacyl/dipeptidyl sulfonamides possessing long-lasting intraocular pressure-lowering properties via the topical route
作者:Scozzafava, A.; Briganti, F.; Mincione, G.; Menabuoni, L.; Mincione, F.; Supuran, C.T.
来源:J Med Chem 1999,42(18),3690
合成路线图解说明:

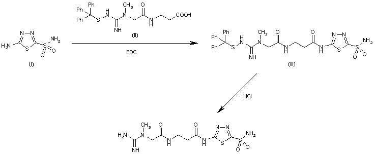
The condensation of 5-amino-1,3,4-thiadiazol-2-sulfonamide (I) with the protected guanidinoacetic acid (II) by means of EDC in acetonitrile gives the corresponding amide (III), which is then deprotected with HCl in hot dioxane.

合成路线图解说明:

The condensation of 5-amino-1,3,4-thiadiazol-2-sulfonamide (I) with the protected guanidinodipeptide (II) by means of EDC in acetonitrile gives the corresponding amide (III), which is then deprotected with HCl in hot dioxane.

合成路线图解说明:

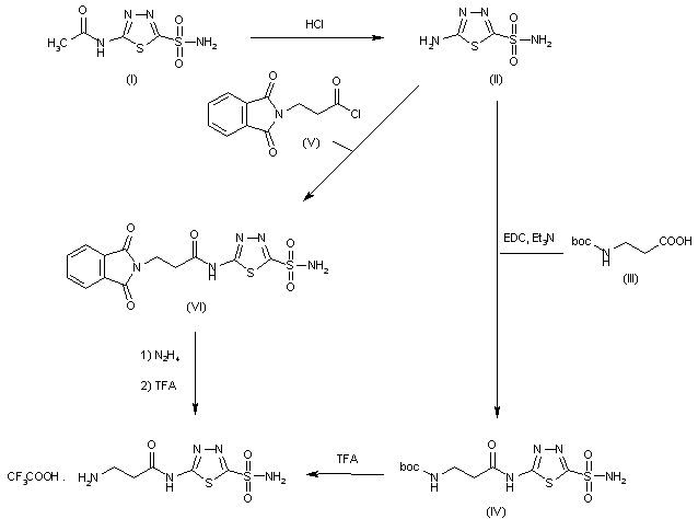
Removal of acetyl group of acetazolamide (I) by refluxing with concentrated HCl affords 5-amino-1,3,4-thiadiazole-2-sulfonamide (II), which is then coupled to Boc-protected beta-alanine (III) by means of EDC and Et3N in acetonitrile to yield the protected derivative (IV). Finally, (IV) is treated with TFA in CH2Cl2 for Boc removal to provide the target compound. Alternatively, conversion of (II) into the desired compound can be achieved by first condensation of (II) with 3-phthalimidopropionyl chloride (V) in pyridine to give the N-phthalimido derivative (VI), which is then subjected to hydrazinolysis and finally treated with TFA.

Drug Information Express,Drug R&D,Chemical Database,Patent Search.
Copyright © 2006-2026 Drug Future. All rights reserved.Contact Us