【药物名称】JK-1624SO2
化学结构式(Chemical Structure):
参考文献No.548621
标题:Conceptually new sulfone analogues of the hormone 1alpha,25-dihydroxyvitamin D3: Synthesis and preliminary biological evaluation
作者:Posner, G.H.; Wang, Q.; Han, G.; Lee, J.K.; Crawford, K.; Zand, S.; Brem, H.; Peleg, S.; Dolan, P.; Kensler, T.W.
来源:J Med Chem 1999,42(18),3425
合成路线图解说明:

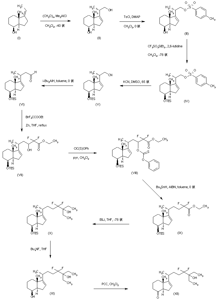
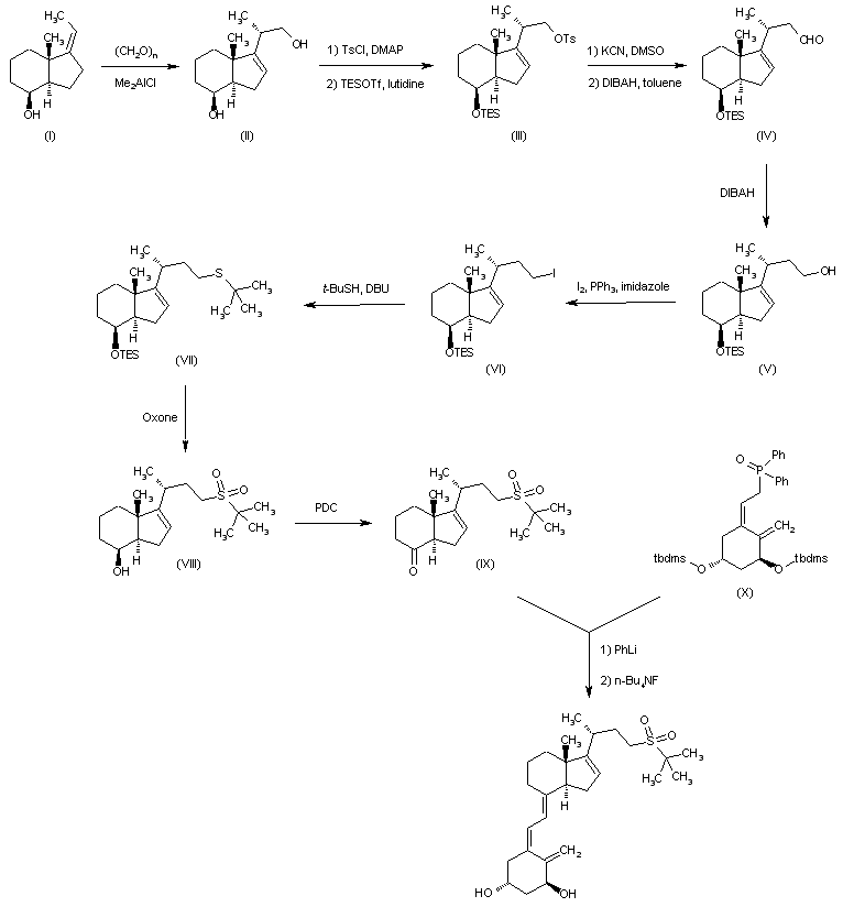
1-Ethylideneperhydroindan-4-ol (I) reacts with Me2AlCl and paraformaldehyde via an ene process to give the homoallylic diol (II), the primary hydroxyl group of which is tosylated by means of TsCl and DMAP and the secondary hydroxyl group silylated by means of TESOTf and lutidine to yield (III). Conversion of (III) into the corresponding nitrile by means of KCN in DMSO, followed by reduction with DIBALH in toluene, affords the aldehyde (IV) (1), which is further reduced in THF by treatment with DIBALH in hexanes to yield (V). The hydroxy silyl ether (V) is then converted into the iodo derivative (VI) by treatment with PPh3, imidazole and I2 in dichloromethane. The iodo silyl ether (VI) reacts with t-BuSH in the presence of DBU in benzene to afford sulfide (VII), which is then oxidized and deprotected with oxone to provide the hydroxy sulfone (VIII). Oxidation of (VIII) with pyridinium dichromate (PDC) in CH2Cl2 gives the keto sulfone (IX), which reacts with the phosphine oxide derivative (X) in THF in the presence of PhLi. Finally, the protecting silyl ether moiety is removed by means of Bu4NF in THF.

参考文献No.589261
标题:Noncalcemic, antiproliferative, transcriptionally active, 24-fluorinated hybrid analogues of the hormone 1alpha,25-dihydroxyvitamin D3. Synthesis and preliminary biological evaluation
作者:Posner, G.H.; Lee, J.K.; Wang, Q.; Peleg, S.; Burke, M.; Brem, H.; Dolan, P.; Kensler, T.W.
来源:J Med Chem 1998,41(16),3008
合成路线图解说明:

1-Ethylideneperhydroindan-4-ol (I) reacts with Me2AlCl and paraformaldehyde via an ene process to give the homoallylic diol (II), the primary hydroxyl group of which is tosylated by means of TsCl and DMAP and the secondary hydroxyl group silylated by means of TESOTf and lutidine to yield (III). Conversion of (III) into the corresponding nitrile by means of KCN in DMSO, followed by reduction with DIBALH in toluene, affords the aldehyde (IV) (1), which is further reduced in THF by treatment with DIBALH in hexanes to yield (V). The hydroxy silyl ether (V) is then converted into the iodo derivative (VI) by treatment with PPh3, imidazole and I2 in dichloromethane. The iodo silyl ether (VI) reacts with t-BuSH in the presence of DBU in benzene to afford sulfide (VII), which is then oxidized and deprotected with oxone to provide the hydroxy sulfone (VIII). Oxidation of (VIII) with pyridinium dichromate (PDC) in CH2Cl2 gives the keto sulfone (IX), which reacts with the phosphine oxide derivative (X) in THF in the presence of PhLi. Finally, the protecting silyl ether moiety is removed by means of Bu4NF in THF.

合成路线图解说明:

Stereoselective addition of formaldehyde to the ethylidene indanol (I) in the presence of dimethylaluminium chloride gave rise to the homoallylic alcohol (II). After tosylation of the primary alcohol of (II) to give tosylate (III) , the secondary hydroxyl group of (III) was silylated with triethylsilyl triflate and lutidine to afford (IV). Displacement of the tosylate group of (IV) with KCN yielded nitrile (V), which was further reduced to aldehyde (VI) by means of DIBAL in cold toluene. A Reformatskii reaction using (VI), ethyl bromodifluoroacetate and activated zinc gave the gem-difluoro ester (VII). Reduction of the free hydroxyl group of (VII) to afford (IX) was achieved via formation of the thianocarbonate (VIII) and then treatment with tributyltin hydride and azobis(isobutyronitrile). Addition of ethyllithium to the ester group of (IX) produced carbinol (X). After desilylation of (X) by treatment with tetrabutylammonium fluoride, the resulting secondary alcohol (XI) was oxidized to ketone (XII) using pyridinium chlorochromate in CH2Cl2.

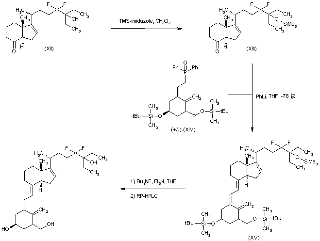
合成路线图解说明:

Protection of (XII) as the silyl ether (XIII), followed by Wittig reaction with the ylide resulting from the racemic phosphine oxide (XIV) furnished diene (XV) as a diastereomeric mixture. After desilylation with tetrabutylammonium fluoride, separation of the diastereoisomers by semipreparative RP-HPLC provided the title compound.

参考文献No.606789
标题:A concise enantioselective synthesis of a key A-ring synthon for 1alpha-hydroxyvitamin D3 compounds
作者:Hiyamizu, H.; Ooi, H.e.; Inomoto, Y.; Esumi, T.; Iwabuchi, Y.; Hatakeyama, S.
来源:Org Lett 2001,3(3),473
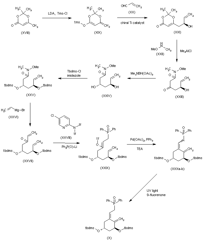
合成路线图解说明:

The silylation of the acetonide (XVIII) with Tms-Cl and LDA in THF gives dienolate (XIX), which is enantioselectively condensed with acrolein (XX) by means of Carreira's Ti catalyst in ethyl ether to yield the chiral allyl alcohol (XXI). The reaction of (XXI), N,O-dimethylhydroxylamine (XXII) and Me2AlCl affords the amide (XXIII), which is selectively reduced with Me4NBH(OAc)3 in HOAc/acetonitrile to provide the dihydroxyamide (XXIV). The silylation of the OH groups of (XXIV) with Tbdms-Cl and imidazole gives the disilylated compound (XXV), which is submitted to a Grignard reaction with vinylmagnesium bromide (XXVI) in THF to yield the vinyl ketone (XXVII). The Michael addition reaction with Ph2P(O)-Li and simultaneous triflation with (XXVIII) in THF affords the enol triflate (XXIX), which is cyclized by means of Pd(OAc)2, PPh3 and TEA in THF to provide the phosphorane (XXXa-b) as an inseparable mixture of the (Z)- and (E)-isomers. Finally, this mixture is submitted to photochemical isomerization with a medium-pressure UV mercury lamp in the presence of 9-fluorenone, furnishing the target intermediate, the (Z)-isomer (X) with a 95 % yield.

参考文献No.608058
标题:A novel silycopper catalyst for the reductivo bromination of hajos dione. Improved preparation of a CD synthon for teh synthesis of vitamin D
作者:Daniewski, A.R.; Liu, W.
来源:J Org Chem 2001,66(2),626
合成路线图解说明:

The bromination of the Hajos dione (XI) with t-Bu-Cu, DIBAL and Br2 in HMPA/THF gives the bromo derivative (XII), which is reduced with LiAlH(t-BuO)3 in THF to yield the diol (XIII). The dehydrobromination of (XIII) with KH in HMPA affords the epoxide (XIV), which is oxidized with pyridinium dichromate (PDC) in dichloromethane to provide the ketoepoxide (XV). The Wittig condensation of (XV) with phosphonium salt (XVI) by means of potassium tert-butoxide gives the ethylidene epoxide (XVII), which is finally opened with LiAlH4 in THF to yield the target intermediate (I).

参考文献No.681581
标题:Enantioselective syntheses of key A-ring precursors of 1alpha,25-dihydroxyvitamin D3 and analogues
作者:Ann? S.; et al.
来源:Synlett 1999,(9),1435
合成路线图解说明:

The silylation of the acetonide (XVIII) with Tms-Cl and LDA in THF gives dienolate (XIX), which is enantioselectively condensed with acrolein (XX) by means of Carreira's Ti catalyst in ethyl ether to yield the chiral allyl alcohol (XXI). The reaction of (XXI), N,O-dimethylhydroxylamine (XXII) and Me2AlCl affords the amide (XXIII), which is selectively reduced with Me4NBH(OAc)3 in HOAc/acetonitrile to provide the dihydroxyamide (XXIV). The silylation of the OH groups of (XXIV) with Tbdms-Cl and imidazole gives the disilylated compound (XXV), which is submitted to a Grignard reaction with vinylmagnesium bromide (XXVI) in THF to yield the vinyl ketone (XXVII). The Michael addition reaction with Ph2P(O)-Li and simultaneous triflation with (XXVIII) in THF affords the enol triflate (XXIX), which is cyclized by means of Pd(OAc)2, PPh3 and TEA in THF to provide the phosphorane (XXXa-b) as an inseparable mixture of the (Z)- and (E)-isomers. Finally, this mixture is submitted to photochemical isomerization with a medium-pressure UV mercury lamp in the presence of 9-fluorenone, furnishing the target intermediate, the (Z)-isomer (X) with a 95 % yield.

Drug Information Express,Drug R&D,Chemical Database,Patent Search.
Copyright © 2006-2026 Drug Future. All rights reserved.Contact Us