【药物名称】
化学结构式(Chemical Structure):
参考文献No.548643
标题:Second-generation peptidomimetic inhibitors of protein farnesyltransferase demonstrating improved cellular potency and significant in vivo efficacy
作者:O'Connor, S.; Barr, K.J.; Wang, L.; Sorensen, B.K.; Tasker, A.S.; Sham, H.; Ng, S.C.; Cohen, J.; Devine, E.; Cherian, S.; Saeed, B.; Zhang, H.; Lee, J.Y.; Warner, R.; Tahir, S.; Kovar, P.; Ewing, P.; Alder, J.; Mitten, M.; Leal, J.; Marsh, K.; et al.
来源:J Med Chem 1999,42(18),3701
合成路线图解说明:

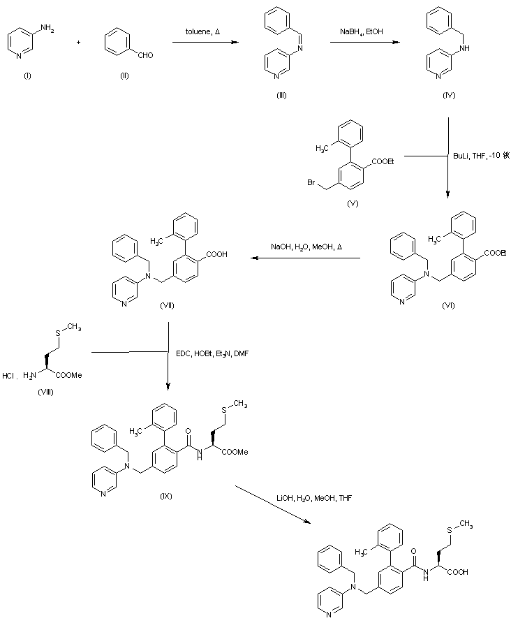
Condensation of 3-aminopyridine (I) with benzaldehyde (II) in refluxing toluene with azeotropic removal of water produced imine (III), which was reduced to amine (IV) using ethanolic NaBH4. Subsequent alkylation of (IV) with methyl 4-bromomethyl-2-(2-methylphenyl)benzoate (V) in the presence of n-BuLi in cold THF yielded the tertiary amine (VI). Basic hydrolysis of the ester group of (VI), followed by EDC-promoted coupling of the resulting carboxylic acid (VII) with L-methionine methyl ester (VIII) afforded amide (IX). The title compound was finally obtained by saponification of the methyl ester group of (IX) by means of LiOH.

Drug Information Express,Drug R&D,Chemical Database,Patent Search.
Copyright © 2006-2026 Drug Future. All rights reserved.Contact Us