【药物名称】
化学结构式(Chemical Structure):
参考文献No.32162
标题:Sulfonamido substd. benzopyran potassium channel activators
作者:Ding, C.Z.; Atwal, K.S. (Bristol-Myers Squibb Co.)
来源:CA 2178353; EP 0747374; JP 1997003035; US 5869478
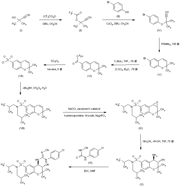
合成路线图解说明:

Treatment of 2-methyl-3-butyn-2-ol (I) with trifluoroacetic anhydride and DBU gave trifluoroacetate (II), which was condensed with 4-bromophenol (III) in the presence of CuCl2 to afford propargyl ether (IV). Cyclization of (IV) in N,N-diethylaniline at 185 C produced benzopyran (V). The required sulfonyl group was introduced in (V) by lithium-bromine exchange, followed by reaction with sulfur dioxide to give the lithium sulfinate (VI), and then oxidation to the sulfonyl chloride (VII) by means of sulfuryl chloride (1). Subsequent treatment of (VII) with diisobutylamine yielded sulfonamide (VIII). Asymmetric epoxidation of (VIII) using sodium hypochlorite and (S,S)(+)-N,N'-bis(3,5-di-tert-butylsalicylidene)-1,2-cyclohexanediamino-manganese(III) chloride (Jacobsen's catalyst) gave rise to epoxide (IX), which was opened with ammonium hydroxide to furnish the trans aminoalcohol (X). Finally, coupling of (X) with N-chlorophenyl-N'-cyanothiourea (XI) in the presence of EDC provided the title cyanoguanidine derivative.

参考文献No.548644
标题:Cardioselective antiischemic ATP-sensitive potassium channel (KATP) openers. 6. Effect of modifications at C6 of benzopyranyl cyanoguanidines
作者:Ding, C.Z.; Rovnyak, G.C.; Misra, R.N.; Grover, G.J.; Miller, A.V.; Ahmed, S.Z.; Kelly, Y.; Normandin, D.E.; Sleph, P.G.; Atwal, K.S.
来源:J Med Chem 1999,42(18),3711
合成路线图解说明:

Treatment of 2-methyl-3-butyn-2-ol (I) with trifluoroacetic anhydride and DBU gave trifluoroacetate (II), which was condensed with 4-bromophenol (III) in the presence of CuCl2 to afford propargyl ether (IV). Cyclization of (IV) in N,N-diethylaniline at 185 C produced benzopyran (V). The required sulfonyl group was introduced in (V) by lithium-bromine exchange, followed by reaction with sulfur dioxide to give the lithium sulfinate (VI), and then oxidation to the sulfonyl chloride (VII) by means of sulfuryl chloride (1). Subsequent treatment of (VII) with diisobutylamine yielded sulfonamide (VIII). Asymmetric epoxidation of (VIII) using sodium hypochlorite and (S,S)(+)-N,N'-bis(3,5-di-tert-butylsalicylidene)-1,2-cyclohexanediamino-manganese(III) chloride (Jacobsen's catalyst) gave rise to epoxide (IX), which was opened with ammonium hydroxide to furnish the trans aminoalcohol (X). Finally, coupling of (X) with N-chlorophenyl-N'-cyanothiourea (XI) in the presence of EDC provided the title cyanoguanidine derivative.

Drug Information Express,Drug R&D,Chemical Database,Patent Search.
Copyright © 2006-2026 Drug Future. All rights reserved.Contact Us