【药物名称】AL-8810
化学结构式(Chemical Structure):
参考文献No.36622
标题:11-Halo prostaglandins for the treatment of glaucoma or ocular hypertension
作者:Sallee, V.L.; Hellberg, M.R.; Klimko, P.G.; Zinke, P.W. (Alcon Laboratories, Inc.)
来源:WO 9820880
合成路线图解说明:

Commercially available aldehyde (I) was reduced to alcohol (II) with NaBH4. After protection of the hydroxyl group of (II) as the tert-butyldiphenylsilyl ether (III), hydrolysis of the benzoate ester of (III) using K2CO3 in MeOH afforded the 11R alcohol (IV). Displacement of the hydroxyl group of (IV), with inversion of the configuration, by means of (diethylamino)sulfur trifluoride generated the 11S fluoride (V), along with minor amounts of olefin (VI). Separation was achieved by dihydroxylation of the olefin (VI) with N-methylmorpholine-N-oxide and OsO4, followed by column chromatography. Reduction of the lactone group of (V) with diisobutylaluminum hydride at -78 C yielded lactol (VIII). Wittig condensation with the phosphorane resulting from phosphonium salt (IX) and t-BuOK furnished the Z-olefin (X). The carboxylate group was then converted to isopropyl ester (XI) by treatment with isopropyl iodide and DBU.

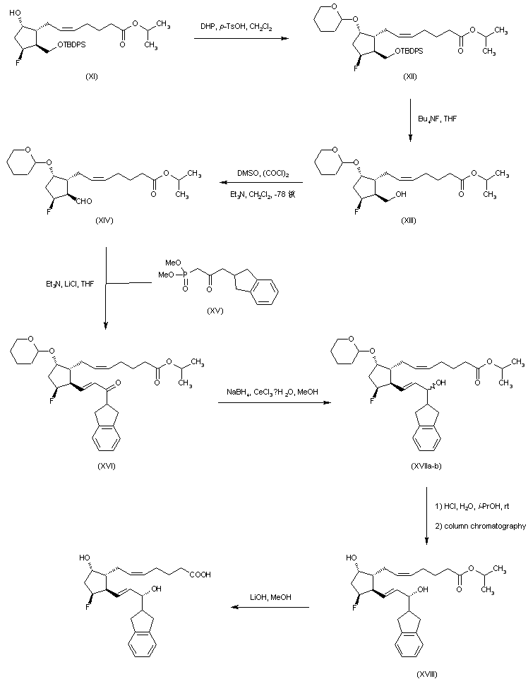
合成路线图解说明:

After protection of the hydroxyl group of (XI) as the tetrahydropyranyl ether (XII), desilylation with tetrabutylammonium fluoride yielded the C-13 alcohol (XIII). Subsequent Swern oxidation of (XIII) with DMSO and oxalyl chloride gave rise to aldehyde (XIV). Horner-Emmons condensation of (XIV) with dimethyl 2-oxo-2-(2-indanyl)ethylphosphonate (XV) provided indanyl ketone (XVI), which was reduced with NaBH4 and CeCl3 to produce an epimeric mixture of alcohols (XVIIa, XVIIb). Acid hydrolysis of the tetrahydropyranyl group gave the corresponding mixture of diols, from which the desired 15S isomer (XVIII) was isolated by column chromatography. Finally, hydrolysis of the isopropyl ester of (XVIII) with LiOH furnished the target carboxylic acid.

参考文献No.549768
标题:AL-8810: A novel prostaglandin F2alpha analog with selective antagonist effects at the prostaglandin F2alpha (FP) receptor
作者:Griffin, B.W.; Klimko, P.; Crider, J.Y.; Sharif, N.A.
来源:J Pharmacol Exp Ther 1999,290(3),1278
合成路线图解说明:

Commercially available aldehyde (I) was reduced to alcohol (II) with NaBH4. After protection of the hydroxyl group of (II) as the tert-butyldiphenylsilyl ether (III), hydrolysis of the benzoate ester of (III) using K2CO3 in MeOH afforded the 11R alcohol (IV). Displacement of the hydroxyl group of (IV), with inversion of the configuration, by means of (diethylamino)sulfur trifluoride generated the 11S fluoride (V), along with minor amounts of olefin (VI). Separation was achieved by dihydroxylation of the olefin (VI) with N-methylmorpholine-N-oxide and OsO4, followed by column chromatography. Reduction of the lactone group of (V) with diisobutylaluminum hydride at -78 C yielded lactol (VIII). Wittig condensation with the phosphorane resulting from phosphonium salt (IX) and t-BuOK furnished the Z-olefin (X). The carboxylate group was then converted to isopropyl ester (XI) by treatment with isopropyl iodide and DBU.

合成路线图解说明:

After protection of the hydroxyl group of (XI) as the tetrahydropyranyl ether (XII), desilylation with tetrabutylammonium fluoride yielded the C-13 alcohol (XIII). Subsequent Swern oxidation of (XIII) with DMSO and oxalyl chloride gave rise to aldehyde (XIV). Horner-Emmons condensation of (XIV) with dimethyl 2-oxo-2-(2-indanyl)ethylphosphonate (XV) provided indanyl ketone (XVI), which was reduced with NaBH4 and CeCl3 to produce an epimeric mixture of alcohols (XVIIa, XVIIb). Acid hydrolysis of the tetrahydropyranyl group gave the corresponding mixture of diols, from which the desired 15S isomer (XVIII) was isolated by column chromatography. Finally, hydrolysis of the isopropyl ester of (XVIII) with LiOH furnished the target carboxylic acid.

Drug Information Express,Drug R&D,Chemical Database,Patent Search.
Copyright © 2006-2026 Drug Future. All rights reserved.Contact Us