【药物名称】
化学结构式(Chemical Structure):
参考文献No.468664
标题:(+-)-trans-2-[3-Methoxy-4-(4-chlorophenylthioethoxy)-5-(N-methyl-N-hydroxyureidyl)methylphenyl]-5-(3,4,5-trimethoxyphenyl)tetrahydrofuran (CMI-392), a potent dual 5-lipoxygenase inhibitor and platelet-activating factor receptor antagonist
作者:Cai, X.; Scannell, R.T.; Yaeger, D.; Hussoin, M.S.; Killian, D.B.; Qian, C.; Eckman, J.; Hwang, S.B.; Libertine-Garahan, L.; Yeh, C.G.; Ip, S.H.; Shen, T.Y.
来源:J Med Chem 1998,41(11),1970
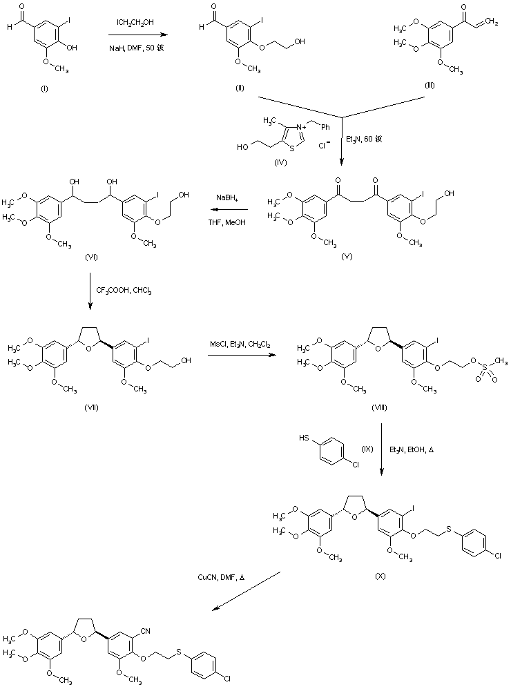
合成路线图解说明:

Alkylation of 5-iodovanillin (I) with iodoethanol gave hydroxyethyl ether (II). This was condensed with vinyl ketone (III) in the presence of the thiazolium salt (IV) to produce the 1,4-diketone (V). Subsequent reduction of (V) with NaBH4 afforded 1,4-diol (VI), which was cyclized with trifluoroacetic acid in chloroform to furnish a mixture of cis and trans diaryltetrahydrofurans. The required trans isomer (VII) was isolated by column chromatography, and then treated with methanesulfonyl chloride and triethylamine to give mesylate (VIII). Further condensation of (VIII) with 4-chlorothiophenol (IX) provided sulfide (X). Finally, displacement of the iodine atom with CuCN in boiling DMF produced the title nitrile.

参考文献No.547771
标题:(?-Trans-2-[3-methoxy-4-(4-chlorophenyl thioethoxy)-5-cyanophenyl]-5-(3,4,5-trimethoxyphenyl)tetrahydrofuran, a potent PAF-receptor antagonist
作者:Ram, B.; et al.
来源:Tetrahedron 1999,55(33),10163
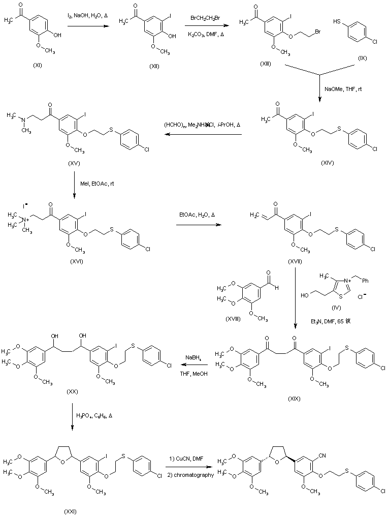
合成路线图解说明:

In a related procedure, iodination of acetophenone (XI) gave (XII). Subsequent alkylation of (XII) with dibromoethane afforded bromoethyl ether (XIII), which was converted to sulfide (XIV) by condensation with 4-chlorothiophenol (IX). Mannich reaction of (XIV) with paraformaldehyde and dimethylamine hydrochloride produced tertiary amine (XV), which was quaternized to (XVI) with MeI. Elimination in the resulting ammonium salt (XVI) produced vinyl ketone (XVII). Diketone (XIX) was then obtained by condensation with trimethoxybenzaldehyde (XVIII) in the presence of thiazolium salt (IV). Reduction of both ketone groups of (XIX) using NaBH4 yielded diol (XX), which was further cyclized with orthophosphoric acid in refluxing benzene to furnish a diastereomeric mixture of cis and trans diaryltetrahydrofurans (XXI). Iodine displacement in (XXI) with CuCN produced the corresponding diastereomeric mixture of cyanides, from which the target trans isomer was isolated by column chromatography.

Drug Information Express,Drug R&D,Chemical Database,Patent Search.
Copyright © 2006-2026 Drug Future. All rights reserved.Contact Us