【药物名称】
化学结构式(Chemical Structure):
参考文献No.40868
标题:4,7-Dialkoxy N-acetylneuraminic acid derivs. and methods for detection of influenza type A and B viruses in clinical specimens
作者:Shimasaki, C.D.; Liav, A.; Hansjergen, J.A. (Oklahoma Medical Research Foundation)
来源:US 5719020; WO 9813372
合成路线图解说明:

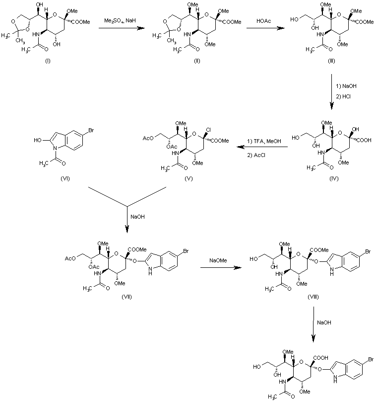
The methylation of the protected ketoside (I) with dimethyl sulfate and NaH gives the trimethoxy compound (II), which is treated with AcOH to eliminate the cyclic ketal protecting group to yield the dihydroxy compound (III). The hydrolysis of the methyl ketal and the ester group of (III) with NaOH affords the hydroxyacid (IV), which is converted into the chloroester (V) by methylation with TFA/methanol and acetylation and chlorination with acetyl chloride. The condensation of (V) with 1-acetyl-5-bromoindol-2-ol (VI) by means of NaOH gives the adduct (VII), which is deacetylated with sodium methoxide in methanol yielding the dihydroxy ester (VIII). Finally, the ester group of (VIII) is hydrolyzed with NaOH.

参考文献No.547714
标题:Synthesis of bromoindolyl 4,7-di-O-methyl-Neu5Ac: Specificity toward influenza A and B viruses
作者:Liav, A.; Hansjergen, J.A.; Achyuthan, K.E.; Shimasaki, C.D.
来源:Carbohydr Res 1999,317(1-4),198
合成路线图解说明:

The methylation of the protected ketoside (I) with dimethyl sulfate and NaH gives the trimethoxy compound (II), which is treated with AcOH to eliminate the cyclic ketal protecting group to yield the dihydroxy compound (III). The hydrolysis of the methyl ketal and the ester group of (III) with NaOH affords the hydroxyacid (IV), which is converted into the chloroester (V) by methylation with TFA/methanol and acetylation and chlorination with acetyl chloride. The condensation of (V) with 1-acetyl-5-bromoindol-2-ol (VI) by means of NaOH gives the adduct (VII), which is deacetylated with sodium methoxide in methanol yielding the dihydroxy ester (VIII). Finally, the ester group of (VIII) is hydrolyzed with NaOH.

Drug Information Express,Drug R&D,Chemical Database,Patent Search.
Copyright © 2006-2026 Drug Future. All rights reserved.Contact Us