【药物名称】
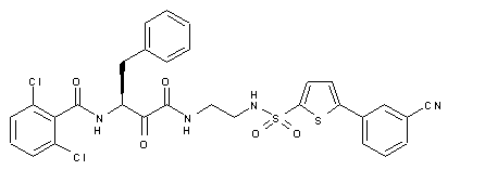
化学结构式(Chemical Structure):
参考文献No.45849
标题:Peptidyl-containing alpha-ketoamide cysteine and serine protease inhibitors
作者:Wells, G.J.; Mallamo, J.P.; Chatterjee, S.; Bihovsky, R. (Cephalon, Inc.)
来源:US 6150378
合成路线图解说明:

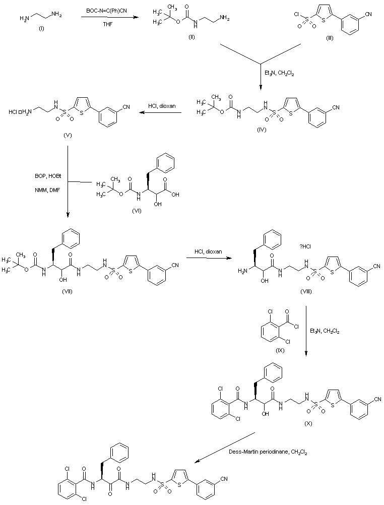
Ethylenediamine (I) was selectively monoprotected as the N-Boc derivative (II) and then coupled with sulfonyl chloride (III), yielding sulfonamide (IV). After deprotection of the Boc group of (IV) with HCl in dioxan, the resulting amine (V) was condensed with hydroxyacid (VI) by means of BOP reagent to give amide (VII). Acid deprotection of the Boc group of (VII), followed by condensation with 2,6-dichlorobenzoyl chloride (IX), provided (X). Finally, the hydroxyl group of (X) was oxidized to the title ketone employing the Dess-Martin periodinane reagent in CH2Cl2.

参考文献No.547895
标题:P2-Achiral, P'-extended alpha-ketoamide inhibitors of calpain I
作者:Chatterjee, S.; Dunn, D.; Tao, M.; Wells, G.; Gu, Z.Q.; Bihovsky, R.; Ator, M.A.; Siman, R.; Mallamo, J.P.
来源:Bioorg Med Chem Lett 1999,9(16),2371
合成路线图解说明:

Ethylenediamine (I) was selectively monoprotected as the N-Boc derivative (II) and then coupled with sulfonyl chloride (III), yielding sulfonamide (IV). After deprotection of the Boc group of (IV) with HCl in dioxan, the resulting amine (V) was condensed with hydroxyacid (VI) by means of BOP reagent to give amide (VII). Acid deprotection of the Boc group of (VII), followed by condensation with 2,6-dichlorobenzoyl chloride (IX), provided (X). Finally, the hydroxyl group of (X) was oxidized to the title ketone employing the Dess-Martin periodinane reagent in CH2Cl2.

Drug Information Express,Drug R&D,Chemical Database,Patent Search.
Copyright © 2006-2026 Drug Future. All rights reserved.Contact Us