【药物名称】
化学结构式(Chemical Structure):
参考文献No.40743
标题:Polycyclic aminopyridine cpds. which are acetylcholinesterase inhibitors, process for preparing them and their use
作者:Contreras Lascorz, J.; El Achab, R.; Camps Garcia, P.; Ba駉s Diez, J.E.; Mu駉z-Torrero Lopez-Ibarra, D.; Badia Sancho, A.; Morral Cardoner, J.; Simon Fornell, M.; G鰎big Romeu, M.; Vivas, N.M. (Medichem SA)
来源:EP 0796849; ES 2100129; US 5965569; WO 9713754
合成路线图解说明:

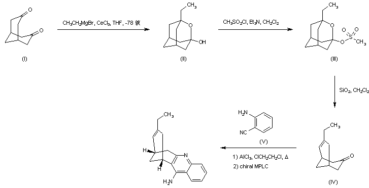
Condensation of diketone (I) with the organocerium reagent derived from ethylmagnesium bromide and CeCl3 afforded the oxaadamantanol (II), which was further converted to mesylate (III) upon reaction with methanesulfonyl chloride and Et3N. Subsequent fragmentation of (III) by treatment with silica gel in CH2Cl2 produced bicyclic enone (IV). This was condensed with 2-amino-4-methylbenzonitrile (V) in the presence of AlCl3 in refluxing 1,2-dichloroethane to furnish the target tetracyclic derivative. Resolution was then achieved by chiral MPLC.

合成路线图解说明:

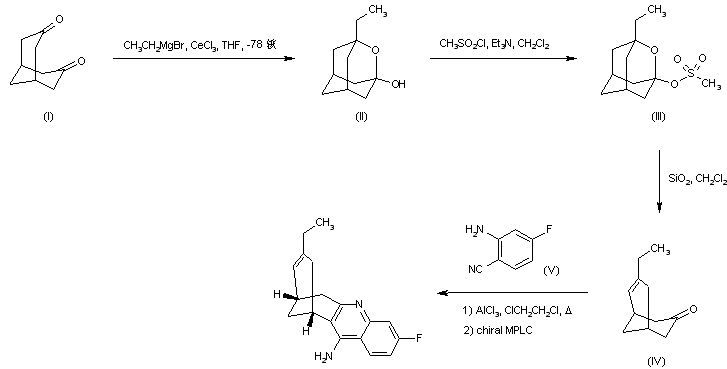
Condensation of diketone (I) with the organocerium reagent derived from methylmagnesium bromide and CeCl3 afforded the oxaadamantanol (II), which was further converted to mesylate (III) upon reaction with methanesulfonyl chloride and Et3N. Subsequent fragmentation of (III) by treatment with silica gel in CH2Cl2 produced bicyclic enone (IV). This was condensed with 2-amino-4-fluorobenzonitrile (V) in the presence of AlCl3 in refluxing 1,2-dichloroethane to furnish the target tetracyclic derivative. Resolution was then achieved by chiral MPLC.

合成路线图解说明:

Condensation of diketone (I) with the organocerium reagent derived from methylmagnesium bromide and CeCl3 afforded the oxaadamantanol (II), which was further converted to mesylate (III) upon reaction with methanesulfonyl chloride and Et3N. Subsequent fragmentation of (III) by treatment with silica gel in CH2Cl2 produced bicyclic enone (IV). This was condensed with 2-aminobenzonitrile (V) in the presence of AlCl3 in refluxing 1,2-dichloroethane to furnish the target tetracyclic derivative. Resolution was then achieved by chiral MPLC.

参考文献No.547215
标题:Synthesis, in vitro pharmacology, and molecular modeling of very potent tacrine - Huperzine A hybrids as acetylcholinesterase inhibitors of potential interest for the treatment of Alzheimer's disease
作者:Camps, P.; El Achad, R.; G鰎big, D.M.; Morral, J.; Munoz-Torrero, D.; Badia, A.; Eladi Banos, J.; Vivas, N.M.; Barril, X.; Orozco, M.; Luque, F.J.
来源:J Med Chem 1999,42(17),3227
合成路线图解说明:

Condensation of diketone (I) with the organocerium reagent derived from ethylmagnesium bromide and CeCl3 afforded the oxaadamantanol (II), which was further converted to mesylate (III) upon reaction with methanesulfonyl chloride and Et3N. Subsequent fragmentation of (III) by treatment with silica gel in CH2Cl2 produced bicyclic enone (IV). This was condensed with 2-amino-4-methylbenzonitrile (V) in the presence of AlCl3 in refluxing 1,2-dichloroethane to furnish the target tetracyclic derivative. Resolution was then achieved by chiral MPLC.

合成路线图解说明:

Condensation of diketone (I) with the organocerium reagent derived from methylmagnesium bromide and CeCl3 afforded the oxaadamantanol (II), which was further converted to mesylate (III) upon reaction with methanesulfonyl chloride and Et3N. Subsequent fragmentation of (III) by treatment with silica gel in CH2Cl2 produced bicyclic enone (IV). This was condensed with 2-amino-4-fluorobenzonitrile (V) in the presence of AlCl3 in refluxing 1,2-dichloroethane to furnish the target tetracyclic derivative. Resolution was then achieved by chiral MPLC.

合成路线图解说明:

Condensation of diketone (I) with the organocerium reagent derived from methylmagnesium bromide and CeCl3 afforded the oxaadamantanol (II), which was further converted to mesylate (III) upon reaction with methanesulfonyl chloride and Et3N. Subsequent fragmentation of (III) by treatment with silica gel in CH2Cl2 produced bicyclic enone (IV). This was condensed with 2-aminobenzonitrile (V) in the presence of AlCl3 in refluxing 1,2-dichloroethane to furnish the target tetracyclic derivative. Resolution was then achieved by chiral MPLC.

参考文献No.604648
标题:Synthesis and evaluation of tacrine-huperzine A hybrids as acetylcholinesterase inhibitors of potential interest for the treatment of Alzheimer's disease
作者:Badia, A.; Banos, J.E.; Camps, P.; Contreras, J.; Gorbig, D.M.; Mu駉z-Torrero, D.; Simon, M.; Vivas, N.M.
来源:Bioorg Med Chem 1998,6(4),427-440
合成路线图解说明:

Condensation of diketone (I) with the organocerium reagent derived from methylmagnesium bromide and CeCl3 afforded the oxaadamantanol (II), which was further converted to mesylate (III) upon reaction with methanesulfonyl chloride and Et3N. Subsequent fragmentation of (III) by treatment with silica gel in CH2Cl2 produced bicyclic enone (IV). This was condensed with 2-aminobenzonitrile (V) in the presence of AlCl3 in refluxing 1,2-dichloroethane to furnish the target tetracyclic derivative. Resolution was then achieved by chiral MPLC.

参考文献No.701365
标题:
作者:
来源:Tetrahedron 1996,51(16),5867-80
合成路线图解说明:

Condensation of diketone (I) with the organocerium reagent derived from ethylmagnesium bromide and CeCl3 afforded the oxaadamantanol (II), which was further converted to mesylate (III) upon reaction with methanesulfonyl chloride and Et3N. Subsequent fragmentation of (III) by treatment with silica gel in CH2Cl2 produced bicyclic enone (IV). This was condensed with 2-amino-4-methylbenzonitrile (V) in the presence of AlCl3 in refluxing 1,2-dichloroethane to furnish the target tetracyclic derivative. Resolution was then achieved by chiral MPLC.

合成路线图解说明:

Condensation of diketone (I) with the organocerium reagent derived from methylmagnesium bromide and CeCl3 afforded the oxaadamantanol (II), which was further converted to mesylate (III) upon reaction with methanesulfonyl chloride and Et3N. Subsequent fragmentation of (III) by treatment with silica gel in CH2Cl2 produced bicyclic enone (IV). This was condensed with 2-amino-4-fluorobenzonitrile (V) in the presence of AlCl3 in refluxing 1,2-dichloroethane to furnish the target tetracyclic derivative. Resolution was then achieved by chiral MPLC.

合成路线图解说明:

Condensation of diketone (I) with the organocerium reagent derived from methylmagnesium bromide and CeCl3 afforded the oxaadamantanol (II), which was further converted to mesylate (III) upon reaction with methanesulfonyl chloride and Et3N. Subsequent fragmentation of (III) by treatment with silica gel in CH2Cl2 produced bicyclic enone (IV). This was condensed with 2-aminobenzonitrile (V) in the presence of AlCl3 in refluxing 1,2-dichloroethane to furnish the target tetracyclic derivative. Resolution was then achieved by chiral MPLC.

参考文献No.701366
标题:
作者:Awasthi, S.; Singhal, S.S.
来源:Tetrahedron Asymmetry 1998,9(5),835-849
合成路线图解说明:

Condensation of diketone (I) with the organocerium reagent derived from methylmagnesium bromide and CeCl3 afforded the oxaadamantanol (II), which was further converted to mesylate (III) upon reaction with methanesulfonyl chloride and Et3N. Subsequent fragmentation of (III) by treatment with silica gel in CH2Cl2 produced bicyclic enone (IV). This was condensed with 2-aminobenzonitrile (V) in the presence of AlCl3 in refluxing 1,2-dichloroethane to furnish the target tetracyclic derivative. Resolution was then achieved by chiral MPLC.

Drug Information Express,Drug R&D,Chemical Database,Patent Search.
Copyright © 2006-2026 Drug Future. All rights reserved.Contact Us