【药物名称】
化学结构式(Chemical Structure):
参考文献No.547228
标题:Discovery of novel disaccharide antibacterial agents using a combinatorial library approach
作者:Sofia, M.J.; Allanson, N.; Hatzenbuhler, N.T.; Jain, R.; Kakarla, R.; Kogan, N.; Liang, R.; Liu, D.; Silva, D.J.; Wang, H.; Gange, D.; Anderson, J.; Chen, A.; Chi, F.; Dulina, R.; Huang, B.; Kamau, M.; Wang, C.; Baizman, E.; Branstrom, A.; et al.
来源:J Med Chem 1999,42(17),3193
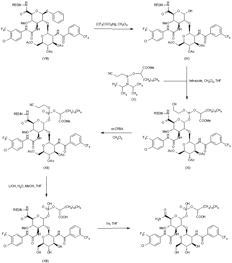
合成路线图解说明:

The compound was obtained by solid-phase synthesis on an aminoethyl-photolinker AM resin. Deprotection of hydroxyl and amino groups from disaccharide-resin (I) by means of hydrazine provided (II). Reaction of the resulting free C-2' amino group of (II) with 3-(trifluoromethyl)benzoic acid (III) in the presence of HATU afforded the corresponding amide (IV). Reacetylation of (IV) with acetic anhydride and dimethylaminopyridine gave triacetate (V). Subsequent reduction of the azido group of (V) by means of trimethyl phosphine provided the C-3 amine (VI), which was condensed with 4-chloro-3-(trifluoromethyl)phenyl isocyanate (VII) yielding urea (VIII).

合成路线图解说明:

Cleavage of the anomeric thiophenyl group of (VIII) by means of mercuric trifluoroacetate produced the desired lactol (IX). Attachment of the phospholipid unit to lactol (IX) was carried out by reaction with phosphoramidite (X). The resulting phosphite ester (XI) was then oxidized to phosphate (XII) using meta-chloroperbenzoic acid. Subsequent basic hydrolysis of (XII) removed the protecting groups to give (XIII). Finally, photolytic cleavage of the resin (XIII) furnished the title disaccharide derivative.

Drug Information Express,Drug R&D,Chemical Database,Patent Search.
Copyright © 2006-2026 Drug Future. All rights reserved.Contact Us