【药物名称】
化学结构式(Chemical Structure):
参考文献No.33730
标题:Subtype-selective NMDA receptor ligands and the use thereof
作者:Cai, S.X.; Keana, J.F.W.; Lan, N.C.; Araldi, G.L.; Tamiz, A.; Zhou, Z.-L.; Woodward, R.M.; Whittemore, E.R.; Weber, E. (Acea Pharmaceuticals; CoCensys, Inc.; Oregon Health Sciences University; University of Oregon)
来源:WO 9723202
合成路线图解说明:

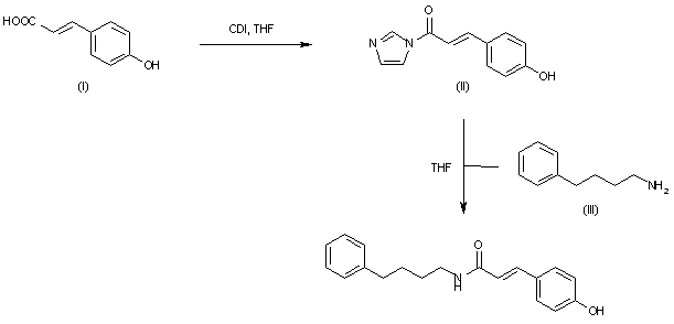
The title compound was prepared by treatment of 4-hydroxycinnamic acid (I) with CDI to produce the corresponding imidazolide (II), which was then coupled with 4-phenylbutyl amine (III) in THF at r.t.

参考文献No.547227
标题:Structure-activity relationship of N-(phenylalkyl)cinnamides as novel NR2B subtype-selective NMDA receptor antagonists
作者:Tamiz, A.P.; Cai, S.X.; Zhou, Z.L.; Yuen, P.W.; Schelkun, R.M.; Whittemore, E.R.; Weber, E.; Woodward, R.M.; Keana, J.F.
来源:J Med Chem 1999,42(17),3412
合成路线图解说明:

The title compound was prepared by treatment of 4-hydroxycinnamic acid (I) with CDI to produce the corresponding imidazolide (II), which was then coupled with 4-phenylbutyl amine (III) in THF at r.t.

Drug Information Express,Drug R&D,Chemical Database,Patent Search.
Copyright © 2006-2026 Drug Future. All rights reserved.Contact Us