【药物名称】
化学结构式(Chemical Structure):
参考文献No.547219
标题:Synthesis and properties of 3-(2-hydroxyethyl)-3-N-pentyldiazirine, a photoactivable general anesthetic
作者:Husain, S.S.; Forman, S.A.; Kloczewiak, M.A.; Addona, G.H.; Olsen, R.W.; Pratt, M.B.; Cohen, J.B.; Miller, K.W.
来源:J Med Chem 1999,42(17),3300
合成路线图解说明:

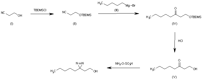
The protection of the OH group of 2-hydroxyacetonitrile (I) with TBDMS-Cl and imidazole in THF gives the silyl ether (II), which is treated with pentylmagnesium bromide (III) in ethyl ether yielding the protected 1-hydroxyoctan-3-one (IV), which is deprotected with HCl in methanol/water affording the corresponding hydroxyketone (V). Finally, this compound is treated with hydroxylamine-O-sulfonic acid in liquid ammonia.

Drug Information Express,Drug R&D,Chemical Database,Patent Search.
Copyright © 2006-2026 Drug Future. All rights reserved.Contact Us